Иван Андреевич Трещев - Методы и модели защиты информации. Часть 1. Моделироваание и оценка стр 6.

Книгу можно купить на ЛитРес.
Всего за 51.9 руб. Купить полную версию
Шрифт
Фон

(7)



где – i порядковый номер преграды, Pi прочность i– й преграды.

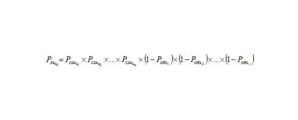
Также в работе представлена модель многоуровневой системы защиты (рисунок 4).


Рисунок 4 – Модель многоуровневой защиты


При расчете суммарной прочности нескольких оболочек (контуров) защиты в формулу (7) вместо Pi, включается Pki – прочность каждой оболочки (контура), значение которой определяется по одной из формул (4), (5) и (6):

(8)



При Pki = 0 данная оболочка (контур) в расчет не принимается. При P

ki

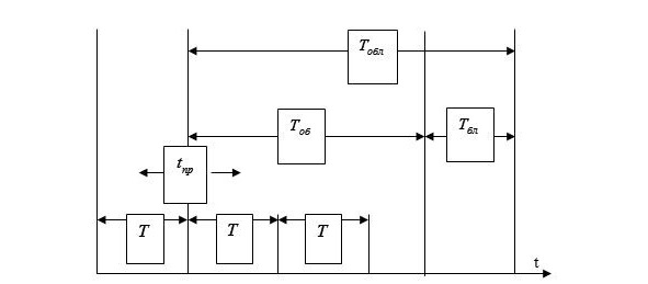
В случае контролируемой преграды, т.е. когда преграда связана с каким—либо тревожным датчиком, который может подать сигнал в случае попытки преодоления преграды.

Исходя из данной временной диаграммы процесса контроля и обнаружения несанкционированного доступа (НСД) (рисунок 5), в работе [27] приводятся формулы для расчета вероятности обнаружения и блокировки НСД Робл и Ротк вероятности отказа системы обнаружения :

(9)



(10)



где λ – интенсивность отказов группы технических средств, составляющих систему обнаружения и блокировки НСД, t – рассматриваемый интервал времени функционирования системы обнаружения и блокировки НСД.


Рисунок 5 – Временная диаграмма процесса контроля НСД


(T – период опроса датчиков; Tоб – время передачи сигнала и обнаружения НСД; Тбл – время блокировки доступа; Тобл – время обнаружения и блокировки; – время простоя)

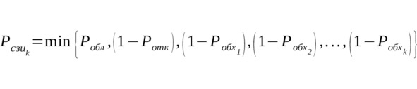
Учитывая, что отказ системы контроля и НСД могут быть совместными событиями, формула прочности контролируемой преграды для элементарной защиты принимает вид:

(11)



где Робл и Р

отк

Робх

Выражение для прочности многозвенной защиты с контролируемыми преградами для защиты от одного нарушителя будет в следующем виде

(12)



где Рсзиkn прочность n—й преграды, Робхn – вероятность обхода преграды по j —му пути.

Формула для расчета прочности защитной оболочки с контролируемыми преградами для защиты от организованной группы нарушителей представлена в виде:

(13)



В работе [28] приводится вероятностная модель оценки уязвимости информации. В данной модели выделяется пять зон, в которых возможны несанкционированные действия:

Ваша оценка очень важна

0

Дальше читают

Шрифт
Фон

Помогите Вашим друзьям узнать о библиотеке

Скачать книгу

Если нет возможности читать онлайн, скачайте книгу файлом для электронной книжки и читайте офлайн.

fb2.zip txt txt.zip rtf.zip a4.pdf a6.pdf mobi.prc epub ios.epub fb3