Boxodir Xoshimovich - All sciences. 6, 2022. International Scientific Journal стр 19.

Шрифт
Фон

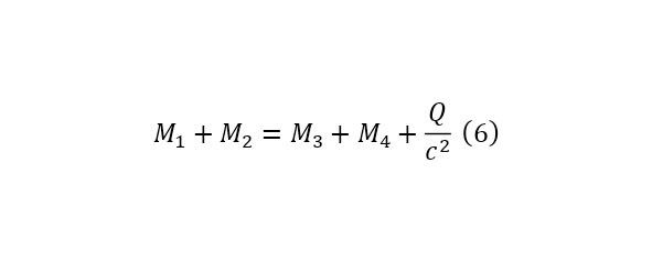
The law of conservation of energy in nuclear reactions acts predictably, but very specifically for representatives of the macrocosm. In this case, the equality of the sums of the total energies (3) is fulfilled.



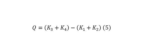
If we paint (3), then we can get (4), from which follows the reaction energy (5), which satisfies (6).





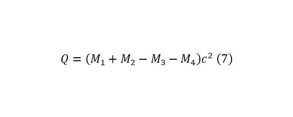
Thus (5) can also be rewritten as (7).



If the reaction yield is greater than zero, then this reaction is exo-energetic and is accompanied by the release of energy into the kinetic energy of the reaction products, in the opposite case  absorption and is called endo-energetic. The adjustment of such a process becomes clear both by the mass difference before and after the reaction, and with a positive difference, we can say that it turns into kinetic energy and the reaction generates energy, in the opposite case, that is, with a negative difference, the process absorbs it.

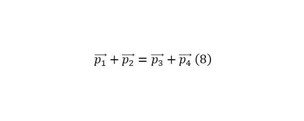
The law of conservation of momentum also applies, which is very noticeable in direct reactions (8).



At the same time, there is a law of conservation of momentum and a number of other laws, but the most basic ones acting in the reaction are these two conservation laws.

But now it is important to focus on the types of nuclear reactions, and there are several of them: nuclear fission reaction, fusion, thermonuclear reaction and photonuclear reaction. The first type is a nuclear fission reaction, this is the process of splitting an atomic nucleus into two, and less often into three nuclei with close nuclear masses, which are called fission fragments. Other reaction products may also occur, including light nuclei  alpha particles, deuterons, as well as neutrons and gamma quanta. Fission itself is spontaneous and spontaneous, or forced, due to interaction with other particles, for example neutrons. The fission of heavy nuclei is in most cases an exoenergetic process, which makes it possible to obtain energy from radiation and kinetic energy of products from this process.

The nuclear fusion reaction is the second nuclear process, which consists in the fusion of two nuclei to form a new, heavier nucleus. This process is often accompanied by the emission of gamma rays or other elementary particles. Fusion of nuclei is most often an endo-energetic process, which most often requires the introduction of energy through the kinetic energies of particles in order to overcome the Coulomb barrier  the electrostatic repulsion of nuclei. The fusion of two nuclei and giving them energy can be realized, as it is not difficult to guess in charged particle accelerators, or these particles originally possessed this energy, for example, cosmic radiation particles, but there is another way  it is heating matter to extremely high temperatures in a special thermonuclear reactor, where the kinetic energy of particles and temperatures are extremely huge.

In this way, it is possible to approach thermonuclear reactions. In such reactions, the fusion of light nuclei leads to the conversion of the excess mass of the original nuclei into energy, since the total mass of the merged nuclei is greater than the mass of the resulting nucleus-the reaction product.

From this it can be concluded that the nuclear fusion reaction of the initial nuclei must have a relatively large kinetic energy, because they experience a rather powerful electrostatic repulsion when passing from their side of the Coulomb barrier. According to the molecular kinetic theory, their kinetic energy can be represented as the temperature of the entire substance, therefore heating will lead to an increase in the kinetic energy of the composite particles and their fusion. This is how nucleon synthesis develops in the bowels of stars with the formation of new nuclei under enormous temperatures.

In particular, the fusion reaction of protons and helium nuclei occurs in large quantities, and as a side result, other isotopes of substances are formed, including deuterium and tritium, as isotopes of hydrogen. And finally, the last type of nuclear reaction is a photonuclear reaction, in which case a gamma quantum is absorbed with sufficient energy to excite the nucleon composition, that is, the nucleus, so that it becomes composite, that is, it can be considered as such, and also releases a different structure from itself, or decays.

This process is called a photonuclear reaction or a nuclear photoelectric effect. And in conclusion, it is worth noting that nuclear reactions can be written as in the form of an equation, as demonstrated earlier, or, for example, in (9), there is also a slightly different notation (10).




As a result, it can be concluded that it is very important for any researcher in contact with this field, including the physics of resonant nuclear reactions, to have knowledge about the nuclear reactions themselves.

And if you notice, then as it was noted, nuclear physics has been developing for a long time, not to mention the time that humanity has spent to study the structure of all matter and matter as a whole. But active research has led to the very recent discovery of a new direction in this field, namely, the physics of resonant nuclear reactions. For the first time such terminology was used and practically demonstrated in the monograph of 2021 by Aliyev I. H. and Sharofutdinova F. M. «The use of accelerators and the phenomena of collisions of elementary particles with high-order energy to generate electrical energy. The Electron Project», which later received its continuation.

2. Physics of resonant nuclear reactions

The creator of the physics of resonant nuclear reactions is I. H. Aliyev, but what is the basis of this discipline? It studies and determines the most favorable conditions for the occurrence of a kind of power surges of the products of nuclear reactions, which are called resonances. To put it simply, when a nuclear reaction takes place, it forms reaction products, which were discussed in one of the previous lectures, and all the circumstances that lead to the reaction being more efficient and their energies being greater are what the physics of resonant nuclear reactions studies.

Lets take an example. Let charged particles be directed to the nucleus of some element, it can be protons, ions, electrons, anything. And when approaching the nucleus, the phenomenon of Coulomb repulsion occurs, it acts only on charges of the same name, namely on nuclei, but does not act on neutral particles, for example, neutrons, although the neutrons themselves also have a minimal charge. The particle spends some energy on overcoming the Coulomb barrier and remains with some of its part, which it spends on overcoming the nucleus itself and further passing the nuclear reaction.

The corresponding energy is released in the reaction, if it is endo-energetic, due to the inequality of the masses, that is, some part of the mass is converted into energy and it is already received by the products of the reaction itself  the flying particles, and they also receive the remaining part of the energy from the bombarded particle. And the total energy of these reaction products is determined by the appropriate mathematical apparatus, but we need a power jump.

Ваша оценка очень важна

0
Шрифт
Фон

Помогите Вашим друзьям узнать о библиотеке