Boxodir Xoshimovich - All sciences. 6, 2022. International Scientific Journal стр 18.

Шрифт
Фон

Such nuclear reactions are exo-energetic or energy-releasing. The first nuclear reaction was carried out by Ernest Rutherford in 1917, when alpha particles bombarded the nuclei of nitrogen atoms. It was completely fixed due to the appearance of secondary ionizing particles, whose mileage in the gas was greater than the mileage of alpha particles, after which they were identified as protons. The process was later photographed.

By the way, about this, it is important to say that a Wilson camera is used to photograph nuclear reactions. Speaking about the mechanisms of interaction, we can distinguish two types of such interaction, namely:

1. Reaction with the formation of a composite nucleus, this process consists of two stages, while the incoming particle combines with the bombarded nucleus itself, forming a common core, which later decays. Such a nuclear reaction proceeds at low energies, up to 10 MeV;

2. Direct nuclear reactions that take place immediately, in nuclear time, which is the smallest fractions of a second and are calculated based on other factors, one of which is the time of crossing the nucleus by a particle. Basically, this type of reaction is expressed only at very high energies of the bombarding particles.

If the original nuclei are preserved after the nuclear reaction itself, no new particles are also born, then the reaction is considered elastic scattering in the field of nuclear forces, without any internal interaction. Such a reaction is accompanied only by the transfer of kinetic energy and momentum of one incoming particle to the target nucleus, being called potential scattering and fully obeying the laws of conservation of momentum in this case.

The reaction mechanisms were mentioned earlier, but it is worth dwelling on them in more detail. The first reaction, namely the mechanism of the composite nucleus, was first developed and proposed by Niels Bohr in 1936 together with the famous theory of the droplet model. This theory even today underlies the great ideas about all nuclear reactions.

If we follow this theory, then, as described, the nuclear reaction follows in two stages, while the entire process from collision, formation of a composite nucleus and its decay takes within 10-23-10-21 seconds. And it is important to note that whatever the composite nucleus is, it is always excited due to the excess energy that is introduced by the particle in the face of the binding energy of nucleons in the composite nucleus and part of the kinetic energy of the composite nucleus, which is equal to the sum of the kinetic energy of the target nucleus with a certain large mass number and the incident particle in the system of the so-called the center of inertia.

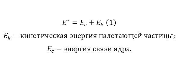
Here it is important to define such a concept as the excitation energy of a composite nucleus, which was formed during the absorption of a free nucleon. It is the sum of the binding energy of the nucleons of the target nucleus and part of its kinetic energy (1).



Part of the kinetic energy due to the large difference in the masses of the nucleus and the nucleon in such cases becomes equal to the kinetic energy of the bombarding nucleon. On average, the binding energy is equal to 8 MeV and can change only with the distinctive features of the composite nucleus formed in this process, but for the precisely specified target nucleus and nucleon, this value is a constant. The kinetic energy of a particle can be anything, for example, in nuclear reactions where a neutron strikes, due to the fact that there is no repulsive force of the nucleus  the Coulomb barrier, their energy can be extremely close to zero.

Thus, the kinetic energy is the minimum excitation energy of the composite nucleus.

And it is from the statement of the presence of a composite nucleus and the existence of nuclear decay channels that we can conclude about the existence of reaction channels. The reaction channels themselves are the ways of transition from an excited to an unexcited state. The type and quantum state of the incoming particles and nuclei before the start of the reaction determine the input channel of the nuclear reaction, after the completion of the reaction, the totality of the formed particles, that is, the reaction products and their quantum state is determined by the resulting output channel of the reaction. The complete characterization of the nuclear reaction is carried out by input and output channels.

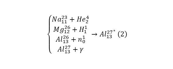
The composite nucleus itself lives for quite a long time, due to which the choice of the reaction channel itself does not depend at all on the method of formation of the composite nucleus, due to which it «forgets» how it was formed. This becomes the reason for the assertion of the independence of the processes of the organization of the composite core and its disintegration. A striking example can be the situation of the formation of an excited aluminum-27 nucleus in the following ways (2).



But it decays violently in the same way in all cases, provided that the excitation energy is the same. But at the same time, there is also a possibility of reverse decay of any of these reactions, with a certain probability that does not depend on the history of the origin of the excited nucleus itself. If we talk about the probability of such events, then the dependence becomes between the grade of the target nucleus and the energies.

As previously indicated, nuclear reactions can also proceed through a direct channel of interaction at high energies, since the nucleons of the nucleus can be considered as free. The difference from the previous composite core model from the direct reaction model initially consists in the distribution of the momentum vectors of the particles-products of the nuclear reaction, relative to the momentum of the bombarding particles. If spherical symmetry operates in the composite model, then in this case the geometry is simpler and the advantage in choosing the directions of the resulting particles is in the direction of the incoming particles.

Earlier, the concept of the probability of a nuclear reaction was mentioned, which is represented by a quantity called the effective cross section of a nuclear reaction. In the laboratory system of the report, the resting situation of the target nucleus is taken, the probability of interaction is determined by the product of the cross section by the flow of incident particles, while the cross section is expressed in units of area, and the flow in the number of particles crossing the unit area per unit time. The cross section of the nuclear reaction itself is calculated in extremely small units of area  barns equal to 1024 cm2.

The ratio of reaction cases attributed to the number of particles bombarding the target is called the yield of a nuclear reaction. This value is determined experimentally by quantitative measurements, which is associated with the crosssection of reactions, and the measurement of this output is in essence the measurement of the reaction cross-section.

The laws of physics, including conservation laws, of course also apply in nuclear reactions. These laws impose certain restrictions on the possibility of carrying out a nuclear reaction itself. There are also some more specific conservation laws peculiar to the microcosm, an example of such can be the law of conservation of the baryon or lepton number. They are performed on all known reactions, but some other laws of parity conservation, isospin, strangeness, only act in fundamental interactions. The consequence of them is the selection rules that determine the real and impossible nuclear reactions that can be carried out.

Ваша оценка очень важна

0
Шрифт
Фон

Помогите Вашим друзьям узнать о библиотеке