Boxodir Xoshimovich - All sciences. 6, 2022. International Scientific Journal стр 20.

Шрифт
Фон

The corresponding energy is released in the reaction, if it is endo-energetic, due to the inequality of the masses, that is, some part of the mass is converted into energy and it is already received by the products of the reaction itself  the flying particles, and they also receive the remaining part of the energy from the bombarded particle. And the total energy of these reaction products is determined by the appropriate mathematical apparatus, but we need a power jump.

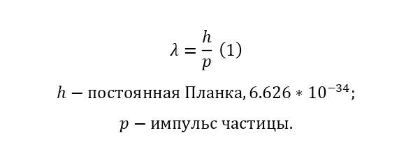
Power is the product of the beam current by its energy, that is, voltage. The energy is really large for favorable reactions and is measured in MeV, but the current is extremely small. We need to somehow increase it. To do this, it is necessary to understand the phenomenon of the probability of a nuclear reaction. The beam itself is both a wave and a corpuscle, that is, a particle, according to the particle-wave dualism, which you can learn more about from the course of quantum physics, so it has its own de Broglie wavelength (1).



And when a particle approaches the nucleus, even if it did not hit it and did not touch it, if it is at a distance of its wavelength, then there will be an interaction. Yes, indeed, even without touching a particle, it can «hit» and enter into interaction, these are the laws of the microcosm. So, you need to increase this wavelength, and for this you need to reduce the pulse, but to reduce the pulse, you need to reduce the speed.

But it is necessary to reduce the velocity so that the particle passes the Coulomb barrier, from this we can conclude that the energy of the particle should be as close as possible to the Coulomb barrier. And here, the value of the Coulomb barrier is the resonant energy of this nuclear reaction.

Now, how to determine the output power? To do this, you need to calculate the energy, which is already easy to do, but how to determine the resonant current? To define it, imagine the following. The target plate consists of arranged atoms and let a certain number of charged particles enter inside. If we place a reference frame at the beginning of the target, then we can use the following statement that the particles will pass through some part of the target, which begins at a certain coordinate and ends at the coordinate of the sum of this coordinate and the thickness of the part itself, and the thickness is equal to the difference of these coordinates.

The question arises to this condition: how many incoming charged particles will enter into the interaction? To do this, we indicate that there are N (x) particles at the first coordinate, and dN at the end point N (x), respectively, where dN is the number of interacting charged particles.

Lets determine the number of cores in this segment of two coordinates  x and x+dx, if the thickness between them is dx. To do this, we introduce the value of the density of nuclei, which determines the number of nuclei of a substance per unit volume, it is defined as the ratio of the density of a substance to its atomic mass in kg and changes into a nucleus / m3 (2).



To determine how many cores there are at a specified point, it is enough to multiply this value (2) by the volume in this part of the plate, for this its area is multiplied by the thickness and by (2), which is indicated in (3).



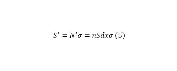
But what is the area, once in which the core will get into the interaction? For one nucleus, we introduce the concept of the nuclear effective cross section, the same region, and since the actions take place in a circle relative to the nucleus of an atom, this value is determined by (4).



Thus, the area available for interaction is (5).



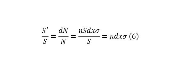
But the ratio of this area to the entire area of the plate is equal to the ratio of the number of all particles remaining without interaction to the total number of particles, that is, it is true (6).



Now, we introduce a numerical definition for (6), and for this we integrate both parts (7) separately into (8) and (9), and then we get the overall result (10).






From here we can get the value of the interacting particles (11).



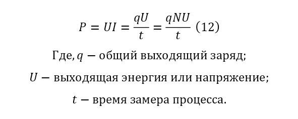
And the output power can also be calculated thanks to (12).



Hence, a jump in power is obtained, that is, a resonance when approaching the energy of the Coulomb interaction in a nuclear reaction. It is this process that is the main one in this direction, which allows for the calibration of energy to receive sharp jumps in power, and in order to implement them, it is necessary to create and develop special monoenergetic accelerators of charged particles with the first linear acceleration, then cyclotron.

Today, the only monoenergetic accelerator in the world is being developed by Electron Laboratory LLC together with the Joint Institute for Nuclear Research and the Federal State Unitary Enterprise Dmitry Vasilyevich Efremov Research Institute of Electrophysical Equipment and other organizations.

To describe the accelerator itself, it is enough to cite a small quotation from the monograph of Aliyev I. H. «New parameters for nuclear reactions for the implementation of charged particle accelerator LCU-EPD-300»:

«When the urgency of the problem of energy starvation on a planetary scale has been proven and demonstrated more than once, the problem of the need to create a device and method for generating electric energy with high efficiency on an extremely large scale, which would allow solving this problem and opening the way for a whole range of numerous projects and scientific works in need of such a source of electric energy, becomes the following a stage in the development of this large project.

And since the necessary research was carried out in the field of searching for such a source and method of energy generation, nuclear reactions were finally recognized as a solution that would increase their own cross-section, therefore, both the probability of passing the reaction itself and the number of active reactions, which of course is directly related to the overall efficiency of the entire nuclear reaction. What follows when taking into account that the energy of the flying particles from the nuclear reaction, in the entire particle picture, is the total voltage, and the number of flying particles, due to their charge, creates a parameter of the current strength of the system.

Due to the fact that the energies are selected in such a way that after passing the Coulomb barrier, the particle has an energy equal to the energy of its thermal counterpart and this fact alone increases the effective cross-section of the entire nuclear reaction into which the particle enters, then such nuclear reactions can be called resonant, due to the fact that they cause resonance in the system and only this they increase the overall efficiency of the entire process.

Ваша оценка очень важна

0
Шрифт
Фон

Помогите Вашим друзьям узнать о библиотеке