Игорь А. Мерзляков - Путешествие в квантовую механику стр 4.

Шрифт
Фон

Преобразуем выражение (3.1), тогда:



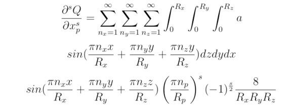
Соотношение (3.3), полученное для операции дифференцирования, можно свести к виду:



для всех чётных s. где p  индекс координаты.

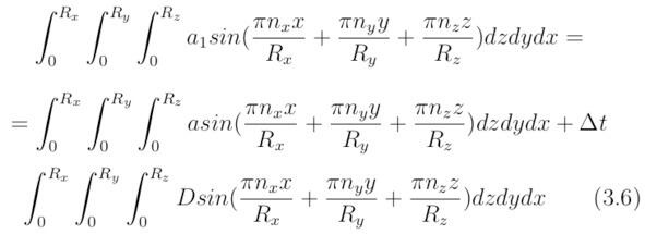
Преобразовав выражение D, справедливым будет записать следующее тождество:



Уравнение (3`) можно представить в виде соотношения:



Коэффициенты Фурье, которые соответствуют следующей по времени итерации, легко можно выразить через коэффициенты Фурье, полученные для предыдущей итерации.

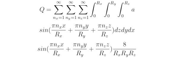
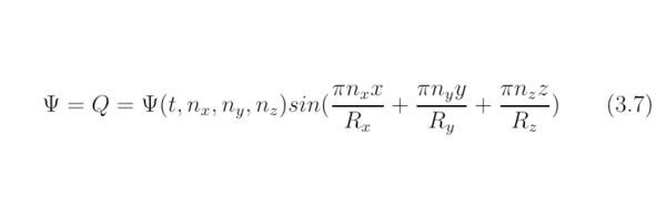
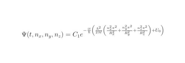
Уравнение Шрёдингера, составленное для постоянной потенциальной энергии, является линейным. Вместе с тем коэффициенты s, входящие в состав рассматриваемого дифференциального уравнения, будут чётными. Таким образом, существует возможность разрешить уравнение Шрёдингера, применяя методику, изложенную выше. Более того, если подставить в качестве решения функцию Q=ψ (t) ψ (x) ψ (y) ψ (z), тогда справедливым будет следующее выражение:



Частное решение уравнения Шрёдингера возможно представить в виде соотношения:



Общее решение является суммой частных по пx, ny, nz.

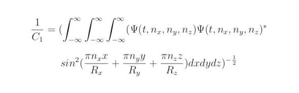
Под обозначением ψ* понимается комплексно сопряжённая волновая функция. Плотностью вероятности появления частицы в точке с координатами (x,y,z) называют соотношение ψψ*. Коэффициент C1 можно определить исходя из тождества ограниченности вероятности:



Следовательно:



где nx, ny, nz  коэффициенты, определяющие дискретные значения полной энергии квантовой системы.

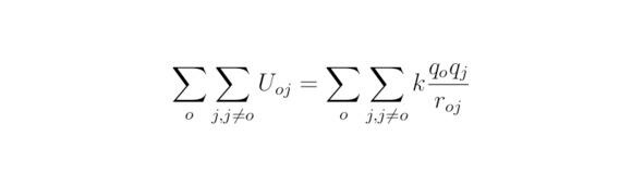
На практике нередко можно встретить ситуацию, когда вместо потенциальной энергии в уравнение Шрёдингера подставляется постоянный коэффициент (потенциал). Исходя из закона Кулона, составленного для энергий, возможно, например, определить условия существования неподвижных в пространстве молекулярных и кристаллических структур. Атомы химического соединения будут сохранять свою стабильность до тех пор, пока сумма энергий ΣoΣj, joUoj, полученная для всех кулоновских взаимодействий, не изменит своего значения. Тогда:



где roj  расстояние между частицами под номерами o и j, qj, qo  заряды частиц, k  коэффициент пропорциональности.

Волновая функция ψ  комплекснозначная величина, используемая в квантовой механике для описания чистого состояния системы, когда квантово-механические процессы протекают без декогеренции. Волновая функция физического смысла не имеет, но физический смысл приписывается плотности вероятности.

В следующем параграфе мы получим общее аналитическое решение уравнения Шрёдингера. Применяя последнее на практике, можно обобщить большинство явлений нерелятивистской квантовой механики, в том числе дать математическое обоснование редукции Фон Неймана (коллапсу волновой функции).

4. К аналитическому решению уравнения Шрёдингера в Сn

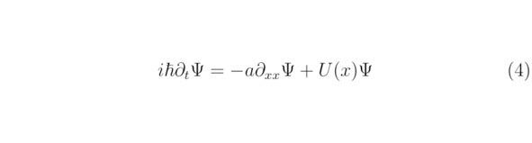
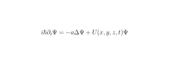
В данной главе будет проанализирован новый подход к решению дифференциальных уравнений. В качестве примера мы рассмотрим решение уравнения Шрёдингера, полученное в декартовой системе координат для одной частицы. Согласно положениям раздела 2, исследуемое уравнение можно записать в следующей форме:



здесь a=ħ2/ (2M). Волновая функция ψ выражена семейством функций. Символом Δ обозначают сумму операторов 2/x2+2/y2+2/z2, знак t эквивалентен частной производной /t. Уравнение Шрёдингера, полученное для одномерного случая, возможно преобразовать к виду:


4.1 Пример решения уравнения Шрёдингера

Осуществляя поиск аналитического решения уравнения Шрёдингера, необходимо разложить в ряд Фурье величину ψ, а также выражения F (x) и U (x) F (x), следовательно:



здесь F (x)  произвольно заданная дифференцируемая функция, F (x) C; -R, R  координаты граничных условий.

Выполним следующие преобразования:

Ваша оценка очень важна

0
Шрифт
Фон

Помогите Вашим друзьям узнать о библиотеке

Скачать книгу

Если нет возможности читать онлайн, скачайте книгу файлом для электронной книжки и читайте офлайн.

fb2.zip txt txt.zip rtf.zip a4.pdf a6.pdf mobi.prc epub ios.epub fb3

Популярные книги автора