Игорь А. Мерзляков - Путешествие в квантовую механику стр 5.

Шрифт
Фон

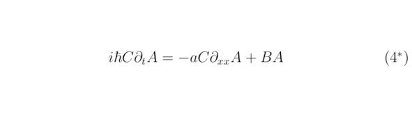
Выполним следующие преобразования:



Заменим неизвестные переменные в тождестве (4`) на соотношения A, B, C, тогда:



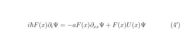
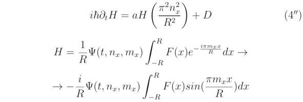
Выражение (4*) содержит в себе общий член exp (iπmxx/R) exp (iπnxx/R). Необходимо сократить последний, оставив в результате только коэффициенты тригонометрического ряда:




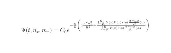
Разделим переменные относительно ψ (t, nx, mx), тогда:



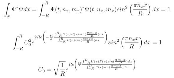
Коэффициент C0 возможно определить исходя из соотношения, полученного для нормированной вероятности (см. раздел 3.3). В рассматриваемом примере существует зависимость величины C0 от времени t. Таким образом, следует потребовать постоянство коэффициента C0 в случае решения стационарного уравнения Шрёдингера.

Область определения волновой функции будет лежать в пределах отрезка (-R,R). В некоторых теоретических случаях допустимо принимать R=, тогда:



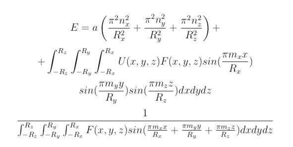
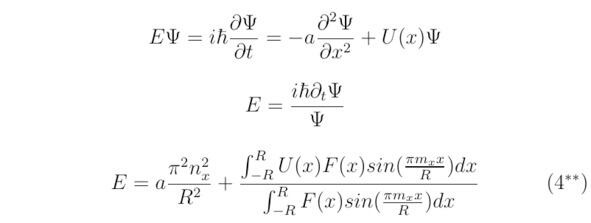
Энергию электрона E можно определить из стационарного одномерного уравнения Шрёдингера, следовательно:



Для трёхмерного базиса величина полной энергии составит:



В заключение следует отметить, что величина E часто не обладает конкретно заданным значением, поскольку в выражении, полученном для полной энергии E, присутствуют произвольные функции: F (x) для одномерной или F (x,y,z) для трёхмерной системы координат. Исходя из неопределённости величины E, находящейся в зависимости от значений непостоянной потенциальной энергии U (x,y,z) const, вид функций F (x) и F (x,y,z) установить невозможно.

Доказательство единственности аналитического решения уравнения Шрёдингера в рамках данного подхода не имеет смысла, за исключением случая U (x) =const, который был подробно рассмотрен в главе 3.

Таким образом, опираясь на предложенную в данном параграфе методику, следует констатировать тот факт, что величина полной энергии E, выраженная в общем виде, будет зависеть от случайных процессов, протекающих в квантовой системе.

Значения функции F (x) должны быть фиксированными во времени в случае решения стационарного уравнения Шрёдингера. Вместе с тем в нестационарных условиях данное требование не является обязательным.

4.2 Интерпретация мысленного эксперимента кота Шрёдингера. Коллапс волновой функции

Если функции ψ1 и ψ2 являются волновыми, то их линейная суперпозиция ψ3 = c1ψ1 + c2ψ2 описывает некоторое состояние квантовой системы. В том случае, когда измерение определённой физической величины f в состоянии ψ1 приводит к результату f1, а в состоянии ψ2  к результату f2, тогда измерение состояния ψ3 приведёт к результатам f1 или f2 с вероятностями |c1|2 и |c2|2 соответственно.

Поскольку уравнение Шрёдингера является линейным, то произвольно заданная комбинация его решений выражается в виде суммы собственных состояний волновой функции.

Концепция мысленного эксперимента кота Шрёдингера заключается в следующей идее. В ящик помещаются банка с ядом, молоточный механизм с детектором, который фиксирует ядерный распад, и кот, изначально живой. В случае распада ядра срабатывает детектор, который приводит в движение молоточный механизм, разбивающий сосуд с ядом, вследствие чего кот умирает. Согласно квантовой механике, если над ядром не производится наблюдение, то его состояние описывается суперпозицией двух состояний  распавшегося и нераспавшегося, следовательно кот, сидящий в ящике, и жив, и мёртв одновременно. Если же ящик открыть, то экспериментатор может увидеть только какое-нибудь одно конкретное состояние  «ядро распалось, кот мёртв» или «ядро не распалось, кот жив».

В квантовой механике коллапс волновой функции происходит в том случае, когда волновая функция (первоначально в суперпозиции нескольких собственных состояний) сводится к одному собственному состоянию, вследствие взаимодействия квантовой системы с внешним миром. Это взаимодействие в дальнейшем будем называть «наблюдением». Под нормированной суперпозицией понимается сумма нормированных волновых функций. Последние являются взаимно зависимыми. Примечательно, что объединенная волновая функция продолжает подчиняться уравнению Шрёдингера.

Ваша оценка очень важна

0
Шрифт
Фон

Помогите Вашим друзьям узнать о библиотеке

Скачать книгу

Если нет возможности читать онлайн, скачайте книгу файлом для электронной книжки и читайте офлайн.

fb2.zip txt txt.zip rtf.zip a4.pdf a6.pdf mobi.prc epub ios.epub fb3

Популярные книги автора