Игорь А. Мерзляков - Путешествие в квантовую механику стр 3.

Книгу можно купить на ЛитРес.
Всего за 51.9 руб. Купить полную версию
Шрифт
Фон

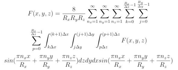
Тригонометрический ряд, который можно получить для произвольной кусочно-дифференцируемой функции F (x,y,z), задаваемой на отрезках (k Δx, (k+1) Δx) для x (0,Rx), (j Δy, (j+1) Δy) для y (0,Ry) и (p Δz, (p+1) Δz) для z (0,Rz), преобразуется к виду:



Таким образом, из выбранных линейных комбинаций Fk, определяемых на отрезках (kΔx, (k+1) Δx), возможно построить кусочно-дифференцируемую функцию F (x), тогда:


Рисунок 3.1 Интерполяция одномерной функции F (x).

3.2 Общее решение дифференциальных уравнений с частными производными

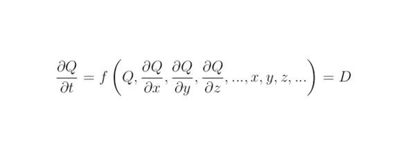
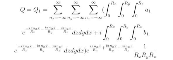
Пусть QC является решением произвольно заданного дифференциального уравнения в частных производных. Введём обозначения для функций a, b, значения которых будут соответствовать вещественной и мнимой части тождества Q=a+ib. Для того, чтобы отыскать решение произвольно заданного дифференциального уравнения, необходимо с помощью метода Эйлера определить закон изменения функции Q во времени. Следует отметить, что рассматриваемый способ решения дифференциальных уравнений является не единственным, однако, в рамках данной книги остановимся на нём, как на простом и наиболее наглядном. Произвольно заданное параболическое дифференциальное уравнение с частными производными возможно преобразовать к общему виду, следовательно:



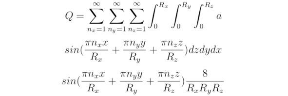
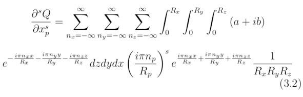
Разложим в ряд Фурье решение Q, тогда:



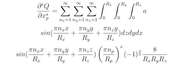
Определим частные производные порядка s по координате xp, входящие в состав выражения D, следовательно:



здесь np и Rp  коэффициенты при координате xp.

В случае расходимости ряда (3.2) применяется следующее преобразование:



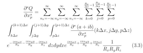
Вид функции sQ/x, который можно получить для точек, находящихся в пространстве C3, формируется согласно уравнению (3.3). Выполним интерполяцию значений выражения D. Если рассматривается одномерный случай, то каждой точке, расположенной на оси D, необходимо поставить в соответствие отрезок (oΔxg, (o+1) Δxg), находящийся на оси xg. Следовательно, в трёхмерном пространстве справедливым будет соотношение:



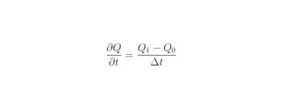
Определим частную производную решения Q по времени, тогда:



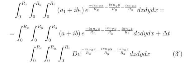
Выполним следующие преобразования:




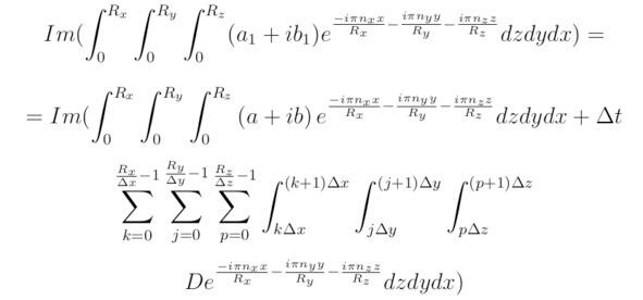
Выражения Q0 и Q будут тожественно равны друг другу в рамках одной итерации. Подставим величины Q1, D и Q в уравнение (3**), а затем произведём обратное преобразование Фурье. В результате получим соотношение:



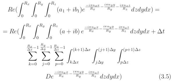
Определим действительную часть решения Q1, тогда:



Вместе с тем справедливым будет тождество, полученное для мнимой части уравнения (3`):



где Re (Q) и Im (Q)  вещественная и мнимая части функции Q.

С каждой новой итерацией по времени вместо выражения Q следует подставлять известное решение Q1, тогда:



В процессе расчёта переход к уравнению (3.1) необходимо выполнять до тех пор, пока не будет достигнуто условие VΔt=T, здесь T  промежуток времени, определяющий эволюцию искомой функции Q, Δt  величина шага по времени, V  общее количество итераций.

3.3 Частный случай решения дифференциальных уравнений

В предыдущем подразделе мы рассмотрели методику, с помощью которой можно отыскать решение того или иного дифференциального уравнения. Разбирая частный случай данной задачи, необходимо потребовать, чтобы исследуемое дифференциальное уравнение было линейным. Если величины nx, ny, nz окажутся положительными, то справедливым будет следующее условие QR. Таким образом, тождество (3*) возможно свести к виду:



Преобразуем выражение (3.1), тогда:



Соотношение (3.3), полученное для операции дифференцирования, можно свести к виду:



для всех чётных s. где p  индекс координаты.

Ваша оценка очень важна

0
Шрифт
Фон

Помогите Вашим друзьям узнать о библиотеке

Скачать книгу

Если нет возможности читать онлайн, скачайте книгу файлом для электронной книжки и читайте офлайн.

fb2.zip txt txt.zip rtf.zip a4.pdf a6.pdf mobi.prc epub ios.epub fb3

Популярные книги автора