Игорь А. Мерзляков - Путешествие в квантовую механику стр 2.

Книгу можно купить на ЛитРес.
Всего за 51.9 руб. Купить полную версию
Шрифт
Фон

Последнее выражение носит своё название в честь учёного, который обобщил в своих научных исследованиях физические законы, описывающие волновую природу реальности. Главным достижением Эрвина Шрёдингера стало уравнение, сыгравшее огромную роль в развитии теоретических и практических результатов в квантовой физике. Общий вид уравнения Шрёдингера мы получили в этом параграфе.

2.2 Описание физических процессов с помощью эмпирического подхода

Обычно с изучением школьной программы принято брать на веру справедливость основных положений, позволяющих осуществить вывод фундаментальных законов физики. В этом разделе мы разберём принципы получения таких зависимостей, которые существуют между физическими величинами, входящими в состав указанных законов.

Для того, чтобы выполнить дальнейшие математические преобразования, необходимо определить понятие «зависимости физических величин», значения которых могут быть выражены через изменение прочих независимых переменных.

Исходя из формулировки о зависимости величины F от функций fj (xj), полученных для переменных xj, заданные выражения fj (xj) следует перемножать между собой только в том случае, когда они окажутся независимыми. Иначе говоря, изменение функции fj (xj) будет происходить без взаимного влияния её значений на другие выражения fo (xo), oj. Потребуем, чтобы количество независимых переменных соответствовало величине N. Итак, функцию F можно выразить в виде соотношения, куда входят значения γj. Каждое из значений γj соответствует коэффициенту пропорциональности (+1 или -1), который представляет из себя степень функции fj (xj) γj, следовательно:



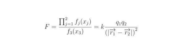
Наглядным примером применения эмпирического подхода к решению физических задач может послужить закон Кулона, полученный для силы электростатического взаимодействия. Таким образом, следующие выражения могут быть определены как независимые между собой функции:

f1 (x1)  произведение зарядов q1q2.

f2  коэффициент пропорциональности k.

f3 (x3)  квадрат расстояния между частицами f3 (x3) =|r1-r2|2. rp  радиус-вектор, построенный из начала координат в точку с зарядом qp. p=1,2.

Хорошо известно, что сила Кулона прямо пропорциональна f1 (x1) и f2 (γj=1), но обратно пропорциональна f3 (x3) (γ3=-1).

Запишем закон Кулона, вид которого можно получить из анализа экспериментальных данных:



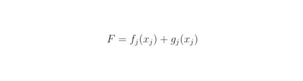
Если величины fj (xj) и gj (xj) окажутся взаимно зависимыми, тогда справедливым будет тождество:



Функции fj (xj) и gj (xj) могут носить более сложный математический характер, нежели степенные выражения. Довольно часто эмпирическим методом невозможно получить тот или иной закон природы, тогда исследователи прибегают к составлению дифференциальных уравнений, например, дифференциальных уравнений в частных производных. Решение последних иногда затрудняется, вследствие невысокой производительности современных компьютеров, в подобных случаях используют суперкомпьютеры.

Пришло время ознакомиться с третьим разделом этой книги, где мы сформулируем общее представление о трудностях, возникающих в процессе решения уравнения Шрёдингера. В следующей главе будет рассмотрен метод, позволяющий отыскать решение произвольно заданного дифференциального уравнения в частных производных.

3. К решению дифференциальных уравнений в частных производных

Применяя методику, которая будет изложена в этом параграфе, можно найти решение того или иного дифференциального уравнения и выявить характерные черты эволюции искомой функции во времени.

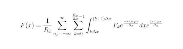
3.1 Интерполяция рядами Фурье

Рассмотрим ряд Фурье в одномерной системе координат. Преобразуем его к виду, в который входит набор линейных функций Fk, отображаемых на отрезках (kΔx, (k+1) Δx) вдоль оси x  (0,Rx), где Δx  размер интервалов, куда заключены значения функций Fk, k  номер вычислительной операции, kN. Следовательно:



Тригонометрический ряд, который можно получить для произвольной кусочно-дифференцируемой функции F (x,y,z), задаваемой на отрезках (k Δx, (k+1) Δx) для x (0,Rx), (j Δy, (j+1) Δy) для y (0,Ry) и (p Δz, (p+1) Δz) для z (0,Rz), преобразуется к виду:

Ваша оценка очень важна

0
Шрифт
Фон

Помогите Вашим друзьям узнать о библиотеке

Скачать книгу

Если нет возможности читать онлайн, скачайте книгу файлом для электронной книжки и читайте офлайн.

fb2.zip txt txt.zip rtf.zip a4.pdf a6.pdf mobi.prc epub ios.epub fb3

Популярные книги автора