Ботирали Рустамович Жалолов - Все науки. 3, 2022. Международный научный журнал стр 5.

Книгу можно купить на ЛитРес.
Всего за 104 руб. Купить полную версию
Шрифт
Фон

Исследовались кубические кристаллы ZnS, вырашенные гидротермальным методом в растворах H3PO4 и KOH в лаборатории гидротермального синтеза института кристаллографии Российской АН.

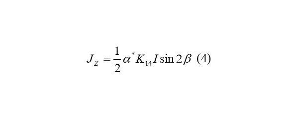
В отличие от сегнетоэлектриков [4, 5] фотовольтаический эффект в ZnS можно наблюдать только в поляризованном свете [8,9]. В соответствии (3) и симметрией точечной группы при освешении кристалла в z направлении оси 4 порядка (оси z) выражение фотовольтаического тока в направлении имеет вид:



где  угол между плоскостью поляризации света и осью х.

Измерение фотовольтаического тока Jz и генерируемого им поля



(sф фотопроводимость) производилось путем снятая стационарных вольт-амперных характеристик [5].

На рис.1 представлена ориентационная зависимость в направлении [001], снятая при Т = 143К при освещении светом с длинной волны l=500 нм (a*=5 см-1) и интенсивностью I=2.3103 Втсм-2. Кристалл освещается плоско поляризованным светом в направлении [001].Сравнение этой угловой зависимости с (4) даёт

K14 =2109Aсм (Вт) -1.

Таким образом, значение модуля К14 в исследованных кристаллах ZnS существенно выше, чем у известных сегнето- и пьезоэлектриков [4, 5,6].

В интервале Т=1403000К модуль К14 обнаруживает слабую температурную зависимость. Благодаря этому, а также из-за сильной температурной зависимости фотопроводимости sф, генерируемое в направление оси z поле



изменялось в пределах от 1В·см-1 (Т=3000 К) до 40В·см-1 (Т=1430К) и не зависело от интенсивности света I.


Рис.1 Ориентационная зависимость плотности фотовольтаического тока Jz в направлении [001]. (T=143K, I=2.3103 Втсм-2, =500 нм)


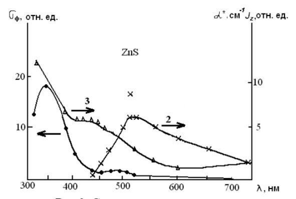
В кристаллах ZnS, выращенных гидротермальным методом фотовольтаический эффект имеет в основном примесный характер. Это видно из рис.2 где представлены спектральные распределения фотопроводимости sф (1) фотовольтаического тока (2), отнесенные к единицы падающей энергии и края оптического поглощения (3).

Примесная полоса в спектральном распределении имеет место вблизи l=500 нм. Там же расположен примесный максимум фотопроводимости. Для кристаллов, выращенных в кислотной или щелочной среде примесный максимум, имеет разное положение и сдвигается в пределах 450500 нм.


Рис.2. Спектральное распределение фотовольтаического тока Jz (2), фотопроводимости sф (1) и оптического поглощения * (3) приТ=143К. =450

2. ФОТОРЕФРАКТИВНЫЙ ЭФФЕКТ В КУБИЧЕСКИХ КРИСТАЛЛАХ ZnS

Влияние неравновесных носителей на двулучепреломленние сегнето и пьезоэлектрических кристаллах получило в литературе название фоторефрактивного эффекта (ФР эффект) и нашёл широкое использование для регистрации объемных голограмм. ФР эффект заключается в следующем. В результате локального освещения или пьезоэлектрического кристалла интенсивным проходящим светом (сфокусированным лучом лазера) в объеме кристалла внутри светового пучка имеет место обратимое изменение двулучепреломления, главным образом за счёт изменения показателя преломления необыкновенного луча ne. Величина этого изменение достигает 104 -10-3 для некоторых пироэлектриков (LiNbo3 LiTa03), а время его существования может изменяться в широких пределах, от миллисекунд в BaTiO3 до месяцев в LiNbO3. Запись голограммы осуществляется благодаря объемной модуляции значения Dn, соответствующей модуляции записывающего луча. Разрешающая способность записи исключительно высокие, 102104 лин/мм. [7,9].

Главное преимущество этого метода оптической памяти по сравнению с фотографическими слоями заключается в возможности параллельной записи, считывания и стирания.

Как показано знак и величина фотовольтаического тока зависит от симметрии кристалла и поляризации света. Фотовольтаический ток приводит к генерации в том же направлении аномально больших фотонапряжений. Таким образом, за время экспозиции t в кристалле возникает макроскопическое поле.

Ваша оценка очень важна

0
Шрифт
Фон

Помогите Вашим друзьям узнать о библиотеке

Скачать книгу

Если нет возможности читать онлайн, скачайте книгу файлом для электронной книжки и читайте офлайн.

fb2.zip txt txt.zip rtf.zip a4.pdf a6.pdf mobi.prc epub ios.epub fb3