Ботирали Рустамович Жалолов - Все науки. 3, 2022. Международный научный журнал стр 4.

Книгу можно купить на ЛитРес.
Всего за 104 руб. Купить полную версию
Шрифт
Фон

Keywords: photovoltaic effect, cubic crystal, photovoltaic coefficients, holographic effect, photo-piezoelectric.

ВВЕДЕНИЕ

Фото-ЭДС (или фотонапряжение) в полупроводниках независимо от ее природы не может превышать ширину запрещенной зоны, т.е. несколько Вольт. Например, в однородном полупроводнике Демберовское (диффузионное) фото напряжение для сколь угодно большой интенсивности возбуждающего света не превышает значения [1].



Где Eg  ширина запрещенной зоны полупроводника, n1 и n0  соответственно неравновесная и равновесная концентрации носителей, Nc  плотность состояний.

Другим примером может служить возникающие фотонапряжение при освещении p-n перехода [2].



которое также не превышает Eg. Здесь и  соответственно концентрации электронов в n  области и дырки в р  области. и  энергии уровня Ферми в n  и р  областях.

Исключение из этого правила составляли лишь полупроводниковые текстуры в которых наблюдается эффект аномально больших фото напряжений (АФН эффект), обусловленный сложением элементарных фото-ЭДС Дембера (1) или элементарных фото-ЭДС (2), развивающихся на отдельных р-n переходах текстуры [3].

В таких текстурах из напиленных слоев CdTe, Ge, Si, GaAs, PbS, CdSe и т. д. фото напряжения могут достигать значений порядка нескольких сотен Вольт на сантиметр длины в направлении сложения элементарных фото-ЭДС (1) или (2).

В последние годы стало ясно, что в термодинамических неравновесных условиях возможны токи иной природы, обусловленные отсутствием среды центра симметрии. Важнейшим этого класса эффекта является аномальный фотовольтаический эффект (АФ эффект).

АФ эффект заключается в том, что при равномерном освещении короткозамкнутого сегнетоэлектрика через него протекает стационарный ток, который в [4,5] был назван фотовольтаическим. Было показано, что именно фотовольтаический ток приводит к аномальному фотовольтаическому эффекту (АФ эффект) в сегнетоэлектрике.

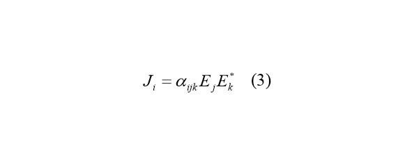
Аномальный фотовольтаический эффект, обнаруженный для сегнетоэлектриков впервые в [4,5] является частным случаем АФ эффекта, описываемого для кристаллов без центра симметрии тензором третьего ранга [5,6]:



Согласно (3), при равномерном освещении линейно поляризованным светом однородного кристаллов без центра симметрии (сегнето, пиро или пъезоэлектрического кристалла) в нем возникает фотовольтаический ток Ji, знак и величина которого зависят от ориентации вектора поляризации света с проекциями.

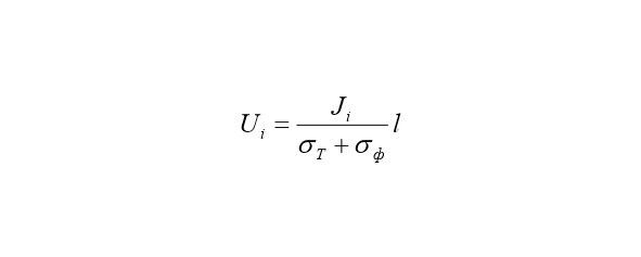
Компоненты тензора aijk отличны от нуля для 20 ацентричных групп симметрии. Если электроды кристалла разомкнуть, то фотовольтаический ток генерирует фотонапряжения



где



и соответственно



темновая и фотопроводимость, расстояние между электродами. Генерируемое фотонапряжения порядка 103105В, превышающее величину ширины запрещенной зони Eg на два  четыре порядка.

В соответствии с (3) и симметрией точечной группы кристалла можно написать выражения для фотовольтаического тока. Сравнение экспериментальной угловой зависимости (b) с (3) позволяет определить фотовольтаический тензор aijk или фотовольтаический коэффициент



(a*  коэффициент поглошения света).

1. ФОТОВОЛЬТАИЧЕСКИЙ ЭФФЕКТ В ПЬЕЗОЭЛЕКТРИЧЕСКИХ КРИСТАЛЛАХ ZnS

В работе изложен результаты исследования объемного фотовольтаического эффекта в пьезоэлектрических кристаллах ZnS, принадлежащих к кубической точечной группе m.

Исследовались кубические кристаллы ZnS, вырашенные гидротермальным методом в растворах H3PO4 и KOH в лаборатории гидротермального синтеза института кристаллографии Российской АН.

В отличие от сегнетоэлектриков [4, 5] фотовольтаический эффект в ZnS можно наблюдать только в поляризованном свете [8,9]. В соответствии (3) и симметрией точечной группы при освешении кристалла в z направлении оси 4 порядка (оси z) выражение фотовольтаического тока в направлении имеет вид:

Ваша оценка очень важна

0
Шрифт
Фон

Помогите Вашим друзьям узнать о библиотеке

Скачать книгу

Если нет возможности читать онлайн, скачайте книгу файлом для электронной книжки и читайте офлайн.

fb2.zip txt txt.zip rtf.zip a4.pdf a6.pdf mobi.prc epub ios.epub fb3