Шавкат Боходирович Каримов - Все науки. 2, 2022. Международный научный журнал стр 9.

Шрифт
Фон

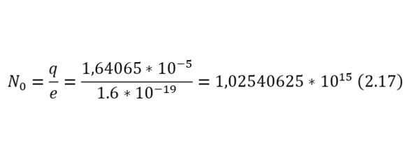
А также необходимо определить в (2.16) начальное число бомбардирующих протонов, указав, что их общая сила тока 100 А, а время одного акта, который вытекает уже из параметров циклотрона, описываемый в предыдущих главах составляет 164,065 нс, что гораздо больше времени даже самой долгой реакции, откуда можно вычислить заряд, а из него уже и число протонов (2.17).





Это число всех частиц, прошедших сквозь пластину и не вошедших в реакцию, а для того, чтобы вычислить те, которые вошли в реакцию, достаточно определить разность в (2.19), а затем уже вычислить из них заряд, с учётом того, что выходит именно 3 альфа-частицы, следовательно, выходящий заряд в 3 раза превышает один выходящий заряд, вместе с этим учитывая, что каждая альфа-частицы несёт в себе по 2 элементарных заряда, то заряд увеличивается ещё в 2 раза (2.20) и силу тока (2.21).





Говоря же о силе тока, выводимой в данном соотношении, важно отметить, что здесь учитывается именно циклотронное время, без участия времени линейного ускорителя или инжектора, из-за чего может наблюдаться изменение или погрешности при реальном детектировании силы тока, но поскольку конечная энергия вычисляется не из силы тока, а из выходящего заряда, то в вычислениях энергий, никаких погрешностей не наблюдается и данное указание действует как для этой, так и для всех в последующем описанных шести ядерных реакциях.

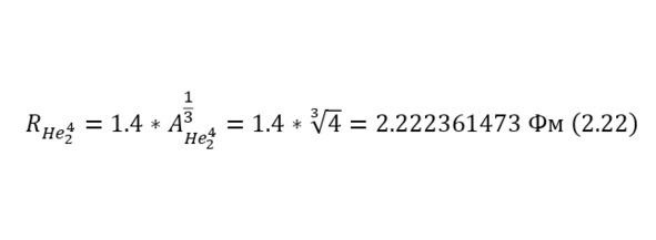
И наконец, для полноты картины остаётся лишь определить выходящее кулоновское отталкивание, определив радиус альфа-частиц, поскольку они будут отталкиваться друг от друга, в (2.22), а уже в (2.23) и сам барьер.




Следовательно, вылетающая альфа-частица также приобретёт дополнительную энергию, и конечная энергия будет составлять 6.338789969 МэВ.

Итак, можно подвести итог, что в данной реакции, с анализом иных каналов будут образовываться протоны с энергией 2,312691131 МэВ и током 100 А, в ионизаторе и циклотроне за 164,065 нс, а затем они будут бомбардировать тонкую пластину бора-11, откуда будут вылетать альфа-частицы с током 576,4075638 А и энергиями 3,746689623 МэВ, а после выходящего кулоновского барьера с энергиями в 6,338789969 МэВ, также будут образовываться атомы углерода-12, благодаря которым температура пластины будет изменяться на 3,214 К.

Вылетевшие альфа-частицы будут направляться в генератор, который устроен либо по принципу МГД-генератора, либо он будет создавать магнитное поле, где альфа-частицы будут двигаться по винтовому пути, образуя некоторую индукцию, благодаря тому, что они имеют заряд.

А изменяя число витков можно изменять поток вектора магнитной индукции, образующуюся в этом движении, в результате этого изменения потока, его можно преобразовать в электричество, получая ЭДС индукции на внешней катушке.

В обоих случаях результат не изменится и выполняемая в данном случае работа за акт составит 599,4486355 Дж, а за секунду уже 3,653726484*109 Дж, а если перевести это значение в Вт*ч, то это получается 1 014 924,023 Вт*ч, что является довольно приличным указанием, момент с потребление для циклотрона определяется как 55,56389 кВт*ч, но более точные показатели рассчитываются в последующих исследованиях.

Библиографический список

1. Р. А. Сюняев. Физика космоса. Маленькая энциклопедия. Советсткая энциклопедия. Изд-во Наука. 1986.

2. Дж. Фейенберг. Из чего сделан мир? Атомы, Лептоны, Кварки и другие загадочные частицы. Изд-во Мир. 1981.

3. В. Голощапов. Физика космоса. Элементарные частицы материи. Супер. 2016.

4. В. А. Фок. Квантовая физика и строение материи. Изд-во URSS. 2009.

5. Дж. Глимм, А. Джаффе. Математические методы квантовой физики. Изд-во Наука. 2017.

6. И. В. Баргатин, Б. а. Гришанин, В. Н. Задков. Запутанные квантовые состояния атомных систем. Редакция им. Ломоносова. 2001.

7. Г. Кейн. Современная физика элементарных частиц. Изд-во Мир. 1990.

ВЛИЯНИЕ РАЗЛИЧНЫХ ЯВЛЕНИЙ ПРИ ПРОХОЖДЕНИИ ЧЕРЕЗ СРЕДУ УЛЬТРАЗВУКОВОЙ ВОЛНЫ

Кучкоров Ахлиддин Мирзохидович


Преподаватель физико-технического факультета Ферганского государственного университета

Ваша оценка очень важна

0
Шрифт
Фон

Помогите Вашим друзьям узнать о библиотеке

Скачать книгу

Если нет возможности читать онлайн, скачайте книгу файлом для электронной книжки и читайте офлайн.

fb2.zip txt txt.zip rtf.zip a4.pdf a6.pdf mobi.prc epub ios.epub fb3