Шавкат Боходирович Каримов - Все науки. 2, 2022. Международный научный журнал стр 8.

Шрифт
Фон

Библиографический список

1. В. А. Буравихин, В. А. Егоров. Биография электрона. Знание. 1985.

2. Д. тер Хаар. Основы гамильтоновой механики. Наука. 1974.

3. В. А. Балаш. Задачи по физике и методы их решения. Просвещение. 1974.

ПОДРОБНЫЙ АНАЛИЗ ПРОТОН-БОРОВОЙ РЕАКЦИИ С ВЫДЕЛЕНИЕМ ТРЁХ АЛЬФА-ЧАСТИЦ

Руми Ринад Фуадович

Старший научный сотрудник лаборатории ускорительной техники при институте полупроводников и микроэлектроники при Национальном Университете Узбекистана


Лаборатория ускорительной техники при институте полупроводников и микроэлектроники при Национальном Университете Узбекистана, Узбекистан

Аннотация. Рассмотрены теоретические основы ядерная реакция и получения энергии из её осуществления с высокой эффективностью при генерации из выделяемых при этом 3 альфа-частиц. При этом важно указание использование для реализации самой реакции резонансного ускорителя частиц типа ЛЦУ-ЭПД-20.

Ключевые слова: ускоритель, ядерная реакция, энергия, элементарные частицы.

Annotation. The theoretical foundations of a nuclear reaction and obtaining energy from its implementation with high efficiency when generating 3 alpha particles released at the same time are considered. At the same time, it is important to specify the use of a resonant particle accelerator of the LCU-EPD-20 type for the implementation of the reaction itself.

Keywords: accelerator, nuclear reaction, energy, elementary particles.


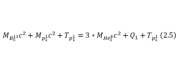
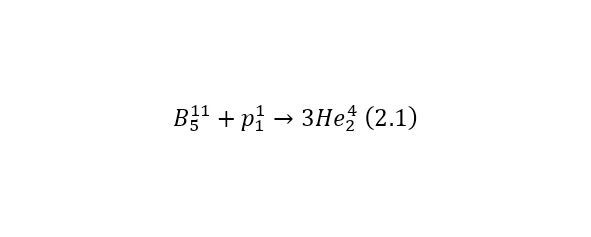
Первая ядерная реакция представляется следующим образом (2.1).



Протон с энергией в 2,312691131 МэВ и массой в 1,00728 а. е. м., налетает на бор-11 с атомной массой в 11,00930517 а. е. м., с выделением трёх альфа-частицы массы, которых составляют 4,001506179 а. е. м.

Изначально, необходимо определить, какое количество энергии затратит протон, приближаясь к ядру бора-11, а именно высоту кулоновского барьера (2.3), определив радиус ядра бора-11 в (2.2).




Следовательно, нынешняя энергия протона, после затраты на кулоновский барьер, составляет 0,23 эВ. Важно заметить, что сама кинетическая энергия частицы подобрана так, чтобы после её прохода энергия оставалась минимальной, что привело бы к увеличению вероятности взаимодействия в самой ядерной реакции. Теперь, необходимо вычислить энергетический выход данной ядерной реакции, с указанными массами в (2.4).



Поскольку эта реакция экзо-энергетическая, то нет смысла вычислять для неё порог реакции, остаётся лишь записать пару энергетических уравнений (2.52.6) и затем вычислить энергии, приобретаемые альфа-частицами.



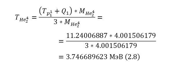
Из этих энергетических уравнений стало ясно, что кроме выхода реакции, добавляется и оставшаяся кинетическая энергия, благодаря чему общая энергия, распределяемая между частицами, составляет 11,24006887 МэВ из равенства (2.7). Теперь, для распределения этих энергий достаточно воспользоваться (2.8), в этом случае, хоть и рассматривается выход уже 3 частиц, они имеют один тип, по этой причине, энергия для них распределяется равномерно, как и импульс.




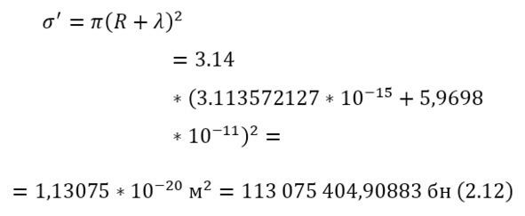
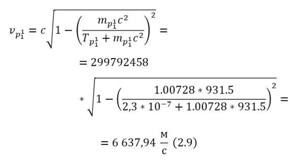
И наконец, остаётся определить сечение ядерной реакции и число взаимодействий. Изначально, необходимо вычислить длину волны налетающих протонов, для этого достаточно определить их импульс через (2.10), перед этим вычислив скорость в (2.9), а затем уже длину волны в (2.11).





Переходя уже к исчислению сечений, достаточно воспользоваться (2.12), но также необходимо использование коэффициента, о котором говорилось ранее, по этой причине применяется и (2.13), и только после вычисляется истинное сечение (2.14), для некоторых подсчётов, этот коэффициент становится равным единице, поэтому просто не указывается, но в данном случае, если подсчитать таким же образом.






Максимально возможное сечение составляет 20 кбн, в данном же случае меньшее сечение благодаря подобранной энергии в циклотроне. Теперь, когда сечение известно, для этой реакции, остаётся ввести число взаимодействий (2.18), перед этим вычислим число атомов на кубометр (2.15) и указав толщину пластины в 13 мкм, поскольку пробег протона (максимальное расстояние, на котором может пройти при определённой энергии) с энергией 1 МэВ составляет это значение.

Ваша оценка очень важна

0
Шрифт
Фон

Помогите Вашим друзьям узнать о библиотеке

Скачать книгу

Если нет возможности читать онлайн, скачайте книгу файлом для электронной книжки и читайте офлайн.

fb2.zip txt txt.zip rtf.zip a4.pdf a6.pdf mobi.prc epub ios.epub fb3