Шавкат Боходирович Каримов - Все науки. 2, 2022. Международный научный журнал стр 10.

Шрифт
Фон

7. Г. Кейн. Современная физика элементарных частиц. Изд-во Мир. 1990.

ВЛИЯНИЕ РАЗЛИЧНЫХ ЯВЛЕНИЙ ПРИ ПРОХОЖДЕНИИ ЧЕРЕЗ СРЕДУ УЛЬТРАЗВУКОВОЙ ВОЛНЫ

Кучкоров Ахлиддин Мирзохидович


Преподаватель физико-технического факультета Ферганского государственного университета


Ферганский Государственный Университет, Узбекистан

Аннотация. Изучение различного вида волн и колебаний всегда представляло большой интерес в науке и технике, приводя к самым различным изобретениям и открытиям, начиная от слабых звуковых волн, с огромными длинами волн, завершая самыми различными электромагнитными волнами, именуемыми ионизирующим излучением. Важным на сегодняшний день является изучение волн, находящихся в частоте между звуковыми и световыми диапазонами, когда уже частота колебаний заставляет излучать различные кванты энергии.

Ключевые слова: ультразвук, частота колебаний, длина волны, физико-математические характеристики.

Annotation. The study of various types of waves and vibrations has always been of great interest in science and technology, leading to a variety of inventions and discoveries, ranging from weak sound waves with huge wavelengths, ending with a variety of electromagnetic waves, called ionizing radiation. It is important today to study the waves that are in the frequency between the sound and light ranges, when the frequency of vibrations already causes various quanta of energy to emit.

Keywords: ultrasound, oscillation frequency, wavelength, physical and mathematical characteristics.

1. Введение

Сам по себе ультразвук является видом звука, то есть явления распространения механических колебаний в твёрдой, жидкой и газообразной среде. Ультразвук также обладает своей частотой и амплитудой, как и любая иная волна, где амплитуда характеризует громкость звука, а частота его тон или высоту. Если обратить внимание на распределение этого вида колебаний по их частотам, но можно отметить инфразвук  то есть звук, с частотой от 0 до 16 Гц, то есть до частоты слышимости человека. После него идёт слышимый звук, ощущаемых ушами человека, находящегося в диапазоне от 1620 Гц до 1520 кГц. Все частоты до 1 ГГц считаются ультразвуком, а от 1 ГГц гиперзвуком.

Указанные частоты являются частотами колебания молекул с постоянными скоростями, зависящими от параметров самой среды и определяемые по формуле (1).



Когда же частота и длина волны звука имеют иную зависимость (2).



По этой закономерности и можно определить необходимые параметры для определённого вида колебаний, а именно звуковых и анализировать явления с ними.

2. Влажность среды

Перед дальнейшим описанием многих явлений, важно остановится на некоторых изменениях параметров самой среды и анализ эффекта этих изменений на исследуемый объект. И одним из подобных факторов является влажность. Сама по себе  влажность в воздушной среде представляет собой наличие воды (влаги) в воздушном пространстве. То есть при переходе в подобной среде ультразвука, важно указать на частое изменение среды, то есть колеблются в один момент молекулы кислорода, в иной же момент  молекулы самой воды.

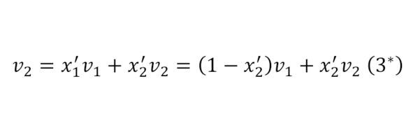
Если же вспомнить более точно, то скорость звука в воздухе составляет 331 м/с, когда же в воде 1483 м/с, где видна существенная разница, по этой причине сама концентрация влаги, то есть показатель влажности самой среды и демонстрирует, насколько ускоряется ультразвук в данной среде с определённой влажностью. Если же имеется ввиду концентрация не только влаги, но и иных газов или других объектов в среде, то достаточно рассмотреть переход скоростей самого звука, и средняя скорость колебаний в такой среде определяется по (3) для общего и процентного соотношения (3*).




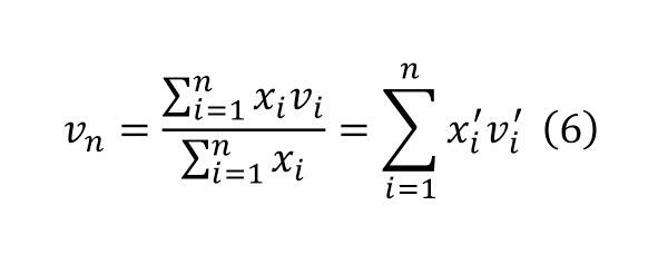
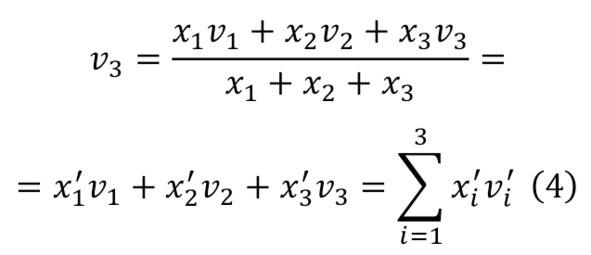
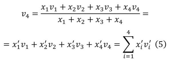
В случае же когда действуют 3 вещества в среде, то закономерность становится (4), если 4 вещества, то (5). То есть эту закономерность в общем виде можно рассмотреть и через суммы (6).





То есть для воздуха с влажностью в 10%, скорость ультразвука будет составлять (7).



Для среды с наличием воздуха в 59%, паров гелия в 12%, водорода в 6%, воды в 7%, железа в 11% и алюминия в 5%, скорость ультразвука составит (8).

Ваша оценка очень важна

0
Шрифт
Фон

Помогите Вашим друзьям узнать о библиотеке

Скачать книгу

Если нет возможности читать онлайн, скачайте книгу файлом для электронной книжки и читайте офлайн.

fb2.zip txt txt.zip rtf.zip a4.pdf a6.pdf mobi.prc epub ios.epub fb3