Татьяна Александровна Лобаева - Основы биохимии. Учебно-тренировочные задания для студентов медицинских специальностей стр 5.

Книгу можно купить на ЛитРес.
Всего за 690 руб. Купить полную версию
Шрифт
Фон

К пуриновым азотистым основаниям относят аденин (6-аминопурин) и гуанин (2-амино-6-гидроксипурин).



К пиримидиновым азотистым основаниям относят урацил (2,4-дигидроксипиримидин), тимин (5-метилурацил; 2,4-дигидрокси-5-метилпиримидин), цитозин (4-амино-2-гидроксипиримидин).



Различают также минорные азотистые основания, которые представляют собой видоизмененные азотистые основания, отличающиеся по строению от аденина, гуанина, урацила и тимина; к ним относятся 5-оксиметилцитозин, дигидроурацил, псевдоурацил, 1-метилурацил, оротовая кислота, N6-метиладенин, N-метилгуанин, и др.

Основные термины раздела:

Азотистые основания общее название азотсодержащих гетероциклических органических соединений, входящих в состав нуклеозидов и нуклеотидов.


Нуклеозиды органические природные соединения, состоящие из пиримидинового или пуринового основания, связанного N-гликозидной связью с остатком 2-дезоксирибозы или D-рибозы.


Нуклеотиды природные или синтетические соединения, у которых гидроксильный остаток пентозы в составе нуклеозида этерифицирован одной или несколькими фосфатными группами


Нуклеиновые кислоты природные высокомолекулярные биополимеры, мономерами которых являются мононуклеотиды, связанные 3,5 -фосфодиэфирной связью; в зависимости от структуры нуклеотидов различают рибо- (РНК) и дезоксирибонуклеиновую (ДНК) кислоту; нуклеиновые кислоты участвуют в хранении, передаче и реализации генетической информации.

Ферменты

Ферменты (от лат. fermentum «закваска»), или энзиимы обычно сложные белковые соединения, РНК (рибозимы) или их комплексы, ускоряющие химические реакции в биологических системах. Ферменты являются биокатализаторами, т. е. ускоряют химические реакции в клетке.

Проферментами зимогенами называют неактивные предшественники ферментов, которые могут активироваться через избирательное расщепление белковой молекулы, реакции фосфорилирования или дефосфорилирования, диссоциации, а также агрегации протомеров и др.

Поскольку все ферменты являются белками, то обладают всеми физико-химическими свойствами белков. По структуре ферменты делятся на простые и сложные.

Простые ферменты состоят только из аминокислот например, пепсин, трипсин, лизоцим. Сложные ферменты (холоферменты) имеют в своем составе белковую часть, состоящую из аминокислот апофермент, и небелковую часть кофактор (коэнзим, кофермент).

С химической точки зрения, кофермент это низкомолекулярное органическое соединение, являющееся составной частью сложного белка, обладающего каталитической активностью; большинство коферментов являются производными водорастворимых витаминов, а также нуклеозидов, пептидов и др.


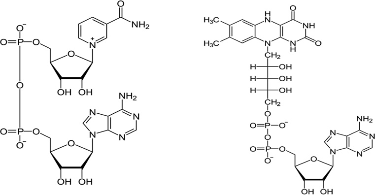
Рис. 3. Структура важнейших коферментов (НАД и ФАД)


Все ферменты, изученные к настоящему времени, включены в особый каталог (классификация ферментов КФ) и имеют свой классификационный номер, в котором первая цифра указывает на принадлежность к одному из 7 классов ферментов:


1) оксидоредуктазы

2) трансферазы

3) гидролазы

4) лиазы

5) изомеразы

6) лигазы (синтетазы)

7) транслоказы


Таблица 7. Взаимосвязь витаминов и коферментов


Принципиальная структура фермента включает:


а) активный центр фермента это уникальная комбинация аминокислотных остатков белковой молекулы, участвующих в присоединении и превращении субстрата, формируется на уровне третичной структуры. В активном центре выделяют субстратсвязывающий (якорный) участок и каталитический участок.

б) аллостерический центр участок фермента, расположенный вне активного центра и присоединяющий низкомолекулярный аллостерический эффектор.


Примерами аллостерических эффекторов являются низкомолекулярные лиганды, вызывающие изменение активности фермента вследствие их связывания в аллостерическом центре (НАД+, НАДН, АТФ, АДФ и др.).

Ваша оценка очень важна

0
Шрифт
Фон

Помогите Вашим друзьям узнать о библиотеке

Скачать книгу

Если нет возможности читать онлайн, скачайте книгу файлом для электронной книжки и читайте офлайн.

fb2.zip txt txt.zip rtf.zip a4.pdf a6.pdf mobi.prc epub ios.epub fb3