Татьяна Александровна Лобаева - Основы биохимии. Учебно-тренировочные задания для студентов медицинских специальностей стр 14.

Книгу можно купить на ЛитРес.
Всего за 690 руб. Купить полную версию
Шрифт
Фон

18. _____________________ четвертый класс ферментов, катализирующих негидролитическое отщепление атомов или групп атомов (NH3, С02 и др.) от субстратов с образованием _____________________ связей и обратные реакции присоединения по _______________________связям, а также реакции конденсации, не сопряженные с расщеплением пирофосфатной связи в молекуле нуклеозидтрифосфатов.

19. Никотинамидадениндинуклеотид (NAD+)  кофермент некоторых оксидоредуктаз, состоящий из ______________________ и аденилового нуклеозидов, связанных через остатки _______________________кислоты; окисленная форма NAD+ имеет положительный заряд на атоме азота пиримидинового кольца и способна восстанавливаться до NADH путем присоединения гидрид-иона.

20. _______________________ диагностика заболеваний, основанная на определении изменения активности ферментов (изоферментов) в биологических жидкостях и тканях; например, для панкреатита характерно повышение в плазме крови активности ______________________________, для инфаркта миокарда активности креатинкиназы, ____________________и др.

21. Азотистые основания общее название азотсодержащих _____________________ органических соединений, входящих в состав _____________________ и нуклеотидов.

22. _______________________(см. формулу)  азотсодержащее шестичленное гетероциклическое соединение, входящее в состав ___________________ нуклеозидов и _______________.



23. __________________ (6-аминопурин)  пуриновое основание, содержащееся в составе пуриновых нуклеотидов, нуклеозидов и их производных. В генетическом коде обозначается заглавной буквой ___.



24. __________________ 24. видоизмененные азотистые основания, отличающиеся по строению от аденина, гуанина, урацила и тимина; к ним относятся N6-метиладенин, N-метилгуанин, дигидроурацил и др.


25. __________________________ мононуклеотид, состоящий из гуанина и пентозы, связанной с одной молекулой фосфорной кислоты; структурный компонент нуклеиновых кислот.



26. ____________________________________________ биополимер, состоящий из нуклеотидов, содержащих дезоксирибозу; локализуется преимущественно в ядре клеток; является носителем генетической информации.


27. ___27. фермент класса лигаз, катализирующий образование фосфодиэфирных связей в местах разрыва одной цепи двухцепочечной ДНК.


28. ____________________ фермент класса трансфераз, катализирующий образование комплементарной цепи из дезоксинуклеозидтрифосфатов на матричной цепочке ДНК.


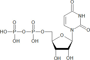
29. Назвать химическое соединение: _________________________________________



30. Нуклеопротеины сложные белки, простетическая группа которых представлена ______________________ или ____________________ (дезоксирибонуклеопротеины) кислотой; являются составной частью ___________________ и рибосомы; обладают каталитической активностью (малые ядерные рибонуклеопротеины).


31. __________________ 31.

Ваша оценка очень важна

0

Дальше читают

Шрифт
Фон

Помогите Вашим друзьям узнать о библиотеке

Скачать книгу

Если нет возможности читать онлайн, скачайте книгу файлом для электронной книжки и читайте офлайн.

fb2.zip txt txt.zip rtf.zip a4.pdf a6.pdf mobi.prc epub ios.epub fb3