М. Л. Фартушняк - Репетитор по математике. Алгебра стр 5.

Шрифт
Фон

Здесь числовой коэффициент делимого разделили на числовой коэффициент делителя, вычли показатели степени буквы x (31=2), буквы y (85=3) и буквы z (73=4).

При делении двух одночленов могут возникнуть две ситуации, которые требуют дополнительного пояснения.

1.Если показатели степени у некоторой буквы в делимом и делителе одни и те же, то в частное эта буква не войдёт (ведь нулевая степень любого числа равна единице).

Пример: 12x3y4: 4x3y2 =3y2.

2.Если показатель степени какой-нибудь буквы в делимом меньше, чем показатель степени той же буквы в делителе, то вычитание даёт отрицательную степень этой буквы.

Пример: 8x3y5: 2x5y3 = 4x-2y2 = (4y2) / (x2)


При возведении одночлена в степень используется правило возведения степени в степень.

Пример: Возведём одночлен 2a4b2 в четвертую степень.

(2a4b2) 4 = 24 (a4) 4 (b2) 4 = 16a16b8.

Не забывайте, что показатели степеней при данном правиле перемножаются.

Сумма одночленов называется многочленом.

Например, 4x2y +3a -7b2  многочлен, состоящий из суммы одночленов 4x2, 3a, -7b2.

При сложении и вычитании многочленов снова получается многочлен.

Пример. Сложим многочлены x3 +2x2y2  7x2 + y и 3x3  x2y2 +5x2  3y.

Составим сумму многочленов, затем раскроем скобки и приведём в полученном многочлене подобные члены.

(x3+2x2y27x2+y) + (3x2 x2y2 +5x2  3y) = x3 +3x3 +2x2y2  x2y2  7x2 +5x2+ y  3y = 4x3 + x2y2  2x2  2y.

Здесь одновременно с раскрытием скобок мы сгруппировали подобные члены (для удобства вычислений).

Аналогично, производится и вычитание многочленов. Не забывайте, если перед скобкой стоит знак «минус», то все члены, заключаемые в скобки, меняют свой знак на противоположный.

Пример. (4x2y  7x3 +5y  3)  (-2x2y +5x3 3y +2) =4x2y  7x3 +5y -3 +2x2y -5x3 +3y  2 = 6x2y  12x3 +8y  5.

Произведение многочленов.

Произведение одночлена и многочлена всегда можно представить в виде многочлена.

Чтобы умножить одночлен на многочлен, нужно умножить этот одночлен на каждый член многочлена и полученные произведения сложить.

Схема: a× (b+c) =a×b+a×c (открытие скобок)

Например:

 4x3 (2y3 x +6) = -4x32y3 + (-4x3 (-x)) + (-4x3 ×6) = -8x3y3 +4x4  24x3.


Мы выписали здесь промежуточные вычисления, хотя, в принципе, без этой записи можно обойтись.

Умножение многочлена на многочлен.

Произведение многочлена на многочлен равно сумме всех возможных произведений каждого одночлена одного из многочленов на каждый одночлен другого.

Схема: (a+b) × (c+d) =a×c+a×d+b×c+b×d

Пример. (3x2  6x +2) × (4x3  3x) = 12x5  9x3  24x4 +18x2 +8x3  6x =

= 12x5  24x4  x3 +18x2  6x.

Существуют частные случаи умножения многочленов, которые называются формулами сокращённого умножения многочленов. Их желательно запомнить.

1. (a+b) 2 =a2+2ab+b2 (квадрат суммы)

2. (a-b) 2=a22ab+b2 (квадрат разности)

3. (a-b) (a+b) =a2-b2 (разность квадратов)

4. (a+b) 3=a3+3a2b+3ab2+b3 (куб суммы)

5. (a-b) 3=a33a2b+3ab2-b3 (куб разности)

6. (a+b) (a2-ab+b2) =a3+b3 (сумма кубов)

7. (a-b) (a2+ab+b2) =a3-b3 (разность кубов)

Примеры: (2ma2 +0.1nb2) 2 = 4m2a4 +0.4mna2b2 +0.01n2b4

(5x3  2y3) 2 = 25x6  20x3y3 +4y6

(0.2a2b + c3) (0.2a2b  c3) = 0.04a4b2  c6

(5ab2 +2a3) 3 = 125a3b6 +150a5b4 +60a7b2 +8a9

Предлагаю вам самим узнать, какие формулы были использованы в этих примерах.

Деление многочленов.

1. Деление многочлена на одночлен.

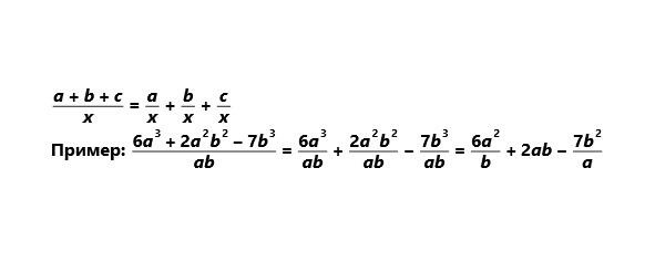
Частное от деления многочлена на одночлен равно сумме частных, полученных от деления каждого слагаемого многочлена на одночлен.

Схема:



2. Деление многочлена на многочлен в общем случае можно выполнить с остатком, подобно тому, как это делается при делении целых чисел.

Ваша оценка очень важна

0
Шрифт
Фон

Помогите Вашим друзьям узнать о библиотеке

Скачать книгу

Если нет возможности читать онлайн, скачайте книгу файлом для электронной книжки и читайте офлайн.

fb2.zip txt txt.zip rtf.zip a4.pdf a6.pdf mobi.prc epub ios.epub fb3

Популярные книги автора