Ибратжон Хатамович Алиев - Программное моделирование явлений ядерных реакций на основе технологии создания множества данных с использованием системы алгоритмов на языке С++. Проект «Ядро-ЭВМ». Монография стр 6.

Книгу можно купить на ЛитРес.
Всего за 124.9 руб. Купить полную версию
Шрифт
Фон

Также стоит обратить внимание на единицы и указание их в самой программе и коде. Также из этих двух основополагающих показателей представляются все остальные данные, которые демонстрируются в следующих главах (4.34.4).

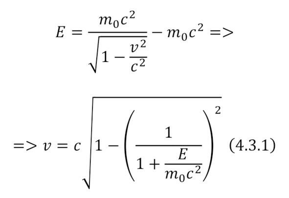
4.3. Скорости действующих частиц

Одним из таких данных, выходящих из энергии продуктов ядерной реакции, является скорость этих продуктов, которое определяется из равенства (4.3.1).



При этом учитывается скорость света равной 299 792 458 м/с, при этом также при делении (отношении энергии к нулевой энергии) имеется ввиду отношение в МэВ. А для использования этой формулы в программе используются лишь переходы в системе единиц.

Общий код для скоростей представлен в последних выводах.

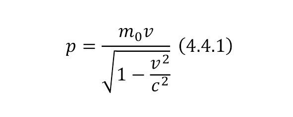
4.4. Импульсы входящих и выходящих частиц

Импульс выходящих частиц определяются через формулу (4.4.1).



Условия к скорости света не изменчивы, как и к другим данным. Код для этих параметров представляется в виде (Кода 4.4.1).

Код 4.4.1. Импульсное определение на кодовом языке С++

pa= (a4*1.66*pow (10, -27) *va) /sqrt (1-pow (va,2) /pow (299792458,2));

pb= (a6*1.66*pow (10, -27) *vb) /sqrt (1-pow (vb,2) /pow (299792458,2));

И результирующим моментом вывода является следующий блок 4.4.2.

Ваша оценка очень важна

0

Дальше читают

Шрифт
Фон

Помогите Вашим друзьям узнать о библиотеке

Скачать книгу

Если нет возможности читать онлайн, скачайте книгу файлом для электронной книжки и читайте офлайн.

fb2.zip txt txt.zip rtf.zip a4.pdf a6.pdf mobi.prc epub ios.epub fb3