Ибратжон Хатамович Алиев - Программное моделирование явлений ядерных реакций на основе технологии создания множества данных с использованием системы алгоритмов на языке С++. Проект «Ядро-ЭВМ». Монография стр 5.

Книгу можно купить на ЛитРес.
Всего за 124.9 руб. Купить полную версию
Шрифт
Фон

Кодовой записью этого случая является (Код 3.2.1).

Код 3.2.1. Запись кода выхода энергии реакции

float q4, t1, E1, E2;

q4= (a4+a5-a6-a7) *931.5;

cout <<«Q="<<q4 <<" MeV»<<endl;

При этом для верного вывода также участвует и момент вывода единицы в МэВ. Единицы, которая выводится при произведении единицы в МэВ/ (а. е. м.), которым исчисляется элемент 931,5 и дефект масс исчисляемый также в единицах а. е. м.

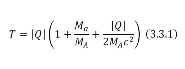
3.3. Порог ядерной реакции

Порог ядерной реакции определяется из равенства (3.3.1).



Из этого равенства определяем следующий код (3.3.1).

Код 3.3.1. Код по определению порога ядерной реакции

float q4, t1, E1, E2;

t1=abs (q4) * (1+a4/a5+abs (q4) / (2*a5*931.5));

cout <<«T="<<t1 <<" MeV»<<endl;

При этом целочисленные данные является не только вещественными, но также эта формула является первой, в которой используется математическая операция (модуль или abs (a)), для выполнения которой необходимо использование и вызов математической библиотеки на первоначальной строке в виде кода 3.3.2.

Код 3.3.2. Код по вызову библиотеки математических операций

#include <math. h>

3.4. Входящая кинетическая энергия

Ещё одним элементом для дальнейших операций, необходим ввод понятия кинетической энергии влетающей частицы. Этот момент отделяется от предыдущего кода пустой строкой для понятия того, что это отдел ввода данных, а именно ввода кинетической энергии частицы.

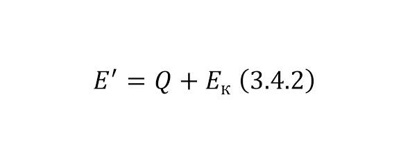
Из этого уже исходят дополнительные 2 формулы, это общая энергия первой части и общая энергия выходная с кинетической (этот момент, также и объясняет, будет ли реакция вообще, если он больше нуля, то будет, если нет  нужно увеличивать кинетическую энергию). Необходимо привести эти уравнения (3.4.13.4.2).




Эта часть кода, до этого момента описывается в (Коде 3.4.1).

Код 3.4.1. Общий код начиная с кинетической энергии до момента выходной общей энергии продуктов реакции

cout <<«»<<endl;

cout <<«Write Ek=»;

cin>> E1;

E2= (a4+a5) *931.5+E1;

cout <<«»<<endl;

cout <<«Ea+EA+Ek="<<E2 <<endl;

cout <<«Energy: Q+Ek="<<q4+E1 <<endl;

На этом моменте завершается условие для кинетической энергии.

Выводы к 3 главе

Итого, был получен следующий код 3.5.1.

Код 3.5.1. Общий код на основе энергетических показателей

float q4, t1, E1, E2;

q4= (a4+a5-a6-a7) *931.5;

t1=abs (q4) * (1+a4/a5+abs (q4) / (2*a5*931.5));

cout <<«Q="<<q4 <<" MeV»<<endl;

cout <<«T="<<t1 <<" MeV»<<endl;

cout <<«»<<endl;

cout <<«Write Ek=»;

cin>> E1;

E2= (a4+a5) *931.5+E1;

cout <<«»<<endl;

cout <<«Ea+EA+Ek="<<E2 <<endl;

cout <<«Energy: Q+Ek="<<q4+E1 <<endl;

В самой же программе этот код выглядит следующим образом (Рис. 3.5.1).


Рисунок 3.5.1. Общий код в самой программе

Глава 4. Целочисленные данные реакции

4.1. Релятивизм в программном моделировании

Для использования всесторонней достоверности при выведении и производстве математических, а также физических расчётов, необходимо учитывать релятивистский эффект, то есть моменты со всеми корнями, степенями и постоянными.

Из этого можно сделать вывод, что для использования в программном моделировании самого понятия релятивизма становится необходимым вызов математической библиотеки данных со всеми дополняющими функциями типа: pow (a,b), sqrt (a), lg (a), sin (x), cos (x), tan (x) и т. д.

4.2. Энергия продуктов реакции

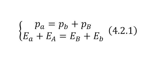
Для определения распределения энергии продуктов ядерной реакции возможно привести решение системы уравнений вытекающей из (4.2.1).



Но для начальной операции, как для простейшего случая возможно применение и двух уравнений (4.2.2) и (4.2.3).




Если записывать это в кодовом варианте для данной программе, получаем следующее равенство (код 4.2.1).

Код 4.2.1. Код для вывода энергии продуктов ядерной реакции

float Tb1, Tb2;

Tb1=a7/ (a6+a7) * (q4+E1);

Tb2=a6/ (a6+a7) * (q4+E1);

cout <<«E (b) ="<<Tb1 <<" MeV»<<endl;

cout <<«E (B) ="<<Tb2 <<" MeV»<<endl;

Также стоит обратить внимание на единицы и указание их в самой программе и коде. Также из этих двух основополагающих показателей представляются все остальные данные, которые демонстрируются в следующих главах (4.34.4).

Ваша оценка очень важна

0
Шрифт
Фон

Помогите Вашим друзьям узнать о библиотеке

Скачать книгу

Если нет возможности читать онлайн, скачайте книгу файлом для электронной книжки и читайте офлайн.

fb2.zip txt txt.zip rtf.zip a4.pdf a6.pdf mobi.prc epub ios.epub fb3