Алина Шоричева - От водорода до мейтнерия: неорганика на ладони. Книга первая: металлы и неметаллы главных подгрупп таблицы Менделеева стр 4.

Книгу можно купить на ЛитРес.
Всего за 364.9 руб. Купить полную версию
Шрифт
Фон

Озон способен быстро распадаться, выделяя атомарный кислород  сильнейший окислитель, оказывая тем самым мощное бактерицидное действие. Фактически удаляются все органические загрязнения на самых разных поверхностях, будь то одежда, инструменты, помещение в целом, вода и даже воздух. Отбеливание целлюлозы по современным методам тоже проводят с помощью озона. В общем, отдадим должное озону, важную роль он играет в жизни и деятельности человека. Но так ли отчаянно благороден этот «рыцарь в стальных доспехах»?


Запах озона ощущается рядом с работающими копировальными аппаратами и бактерицидными облучателями, то есть вблизи тех предметов, где есть электрический разряд, искра. В количествах, превышающих предельно допустимые, озон вызывает у человека сбой сердечно-сосудистой, дыхательной систем, сильную головную боль, общее плохое самочувствие. Озон может быть очень токсичным, вредным для здоровья. Поэтому так важно сотрудникам предприятий вести наблюдение за концентрацией этого газа в помещениях.



К тому же нужно учитывать «взрывоопасность» озона, многие органические вещества способны воспламеняться в его атмосфере. Но вот что интересно: не всякое органическое вещество сгорает в озоне, некоторые вещества с двойными связями в молекуле в среде разбавленного озона образуют с ним соединения-озониды. Химики-исследователи потом по составу получившегося озонида устанавливают строение исходной молекулы органического вещества.


Таков он, газ озон, рыцарь благородный и опасный. Так важно научиться правильно его применять, уважать его свойства, и тогда он будет для человека другом и помощником.

Глава 4

Перекись водорода. Антисептик с пузырьками

Как гласит народная мудрость: «Назвался груздем  полезай в кузовок!» Начал разбирать тему, так договаривай. О «брате» кислорода  озоне  мы упомянули, сам кислород тоже вниманием не обделили. А где кислород, там рядышком и соединения под названием пероксиды. Самый «знаменитый» из них  водорода пероксид (или перекись, как нам привычнее слышать).


Молекула пероксида водорода неплоская, состоит из двух атомов кислорода, соединенных друг с другом (пероксидный «мостик»), и двух атомов водорода. Связи О-Н расположены под углом относительно пероксидного «мостика».


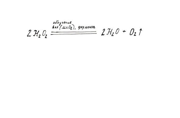
Перекись водорода  бесцветная жидкость, несколько тяжелее воды, причем в воде растворяется неограниченно, а также в спирте и эфире. Под действием света, некоторых ферментов или катализатора (оксид марганца (IV)) пероксид водорода быстро распадается на воду и кислород.


Строение молекулы пероксида водорода. Не будем забывать, что степень окисления кислорода в пероксидах равна -1


Химические свойства пероксида водорода


Распад пероксида водорода под действием катализатора


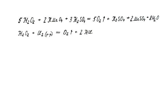
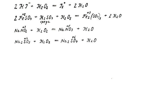
1. Как сильного окислителя. Окисляет многие восстановители: соли железа (II), йодиды, сульфиты, нитриты.

2. Как восстановителя (с более сильными окислителями, например, с хлорной водой). Выделяется кислород.


Свойства пероксида как окислителя


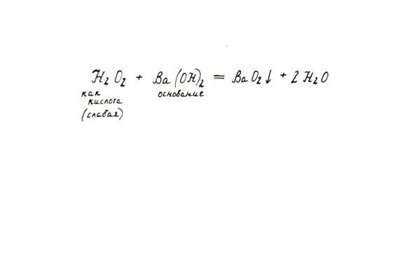
3. Как очень слабой кислоты (взаимодействие с некоторыми щелочами с образованием пероксидов тех металлов, которые входили в состав щелочи).


Свойства пероксида как восстановителя


Пероксид водорода находит широкое применение в медицине и промышленности. В виде трехпроцентного водного раствора известен как антисептическое средство. Все мы замечали, наверное: капнешь перекись на ранку, и ранка начинает «пузыриться», чуть ли не шипит. Это происходит распад перекиси и выделение кислорода, который рану дезинфицирует. А затевает реакцию фермент каталаза, содержащийся в крови.


Свойства пероксида как кислоты


В промышленности используются концентрированные растворы пероксида водорода, называемые пергидролями. Они помогают отбеливать ткани, бумагу, осветлять старые слои красок на картинах, а в смеси с моющими средствами пригодны для уборки, дезинфекции. Только очень важно при работе с пергидролем беречь кожу, чтобы не получить сильный ожог. Кроме того, пергидроль взрывоопасен.

Ваша оценка очень важна

0
Шрифт
Фон

Помогите Вашим друзьям узнать о библиотеке

Скачать книгу

Если нет возможности читать онлайн, скачайте книгу файлом для электронной книжки и читайте офлайн.

fb2.zip txt txt.zip rtf.zip a4.pdf a6.pdf mobi.prc epub ios.epub fb3