Алина Шоричева - От водорода до мейтнерия: неорганика на ладони. Книга первая: металлы и неметаллы главных подгрупп таблицы Менделеева стр 3.

Книгу можно купить на ЛитРес.
Всего за 364.9 руб. Купить полную версию
Шрифт
Фон

Не забудем упомянуть и про старый добрый электролиз воды, когда под действием электрического тока на катоде выделяется водород, а на аноде  кислород.


Вообще, надо сказать, что кислород очень реакционноспособен и как второй по электроотрицательности элемент (уступает лишь фтору) берет на себя роль окислителя (принимает «чужие» электроны). Со многими веществами он взаимодействует уже при комнатной температуре. Если же температуру повысить, добавить освещение, катализатор, то реакции с кислородом будут протекать очень стремительно, бурно, сопровождаясь выделением большого количества тепла.


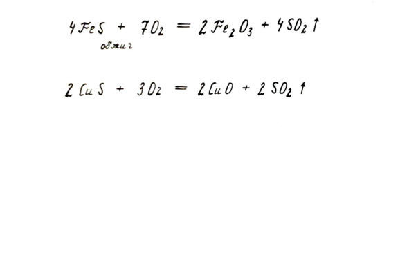
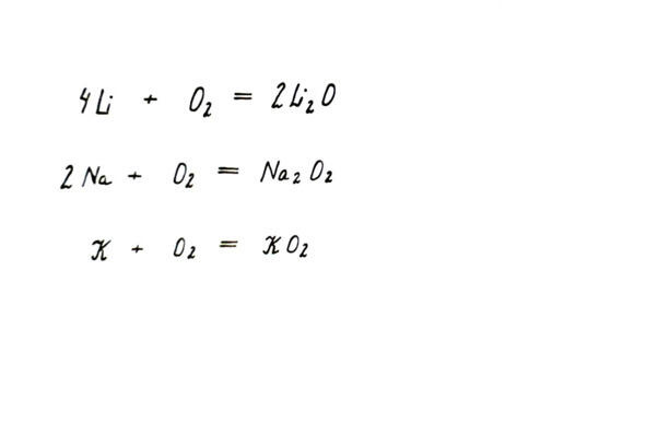
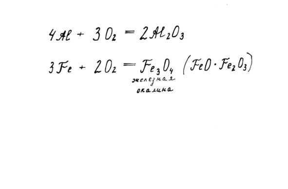
Реакции с металлами

Продукт реакции  оксид металла.


Небольшой нюанс касается щелочных металлов. Литий с кислородом образует оксид, натрий  пероксид, а калий, рубидий и цезий  надпероксиды.


Золото, платина и серебро с кислородом не реагируют!


Надпероксиды  особые структуры, за счет своего строения они имеют яркую окраску.


Пероксиды и надпероксиды щелочных металлов  очень сильные окислители!


Реакции с неметаллами

Продукт реакции  оксид неметалла.


С гелием, неоном и аргоном кислород не образует химических соединений. Таковы уж они, благородные газы, инертные вещества. Лишь ксенон несколько «разблагородился». В 2016 году в научном журнале Nature Chemistry вышла статья, где было сказано о том, что химики с большим трудом смогли получить смесь оксидов ксенона. Соединять до этого «несоединимые» газообразные ксенон и кислород ученым пришлось при огромном давлении (в миллион раз больше, чем нормальное атмосферное). Смесь газов поместили в устойчивую к давлению ячейку, выполненную из алмаза, и нагревали лазером.


Реакция с фтором  случай, когда кислород становится восстановителем. С остальными неметаллами-галогенами кислород непосредственно не реагирует!


Реакции со сложными веществами

Продукт реакции  оксиды тех элементов, из которых состояло сложное вещество.

Многие металлы находятся в горных породах в соединении с серой (сульфидные руды). Один из этапов извлечения металлов из руды  перевод сульфидов в оксиды.


Обратите внимание: окисление аммиака при наличии катализатора происходит до образования оксида азота (II)


Таков он, вездесущий кислород: ни горение, ни ржавление, ни дыхание не обходятся без его участия.


Глава 3.

Озон. Рожденный молнией

Говоря о кислороде, нельзя не упомянуть о его «брате-неблизнеце» озоне. Озон  аллотропная модификация, его молекулы состоят из трех атомов кислорода.


Озон при нормальных условиях  газ светло-голубого цвета. Постепенно охлаждаясь, он из газового состояния переходит в жидкое (темно-синяя жидкость), а затем  в твердое (черно-синие кристаллы). В минимальной концентрации запах озона ощущается как «аромат свежести», в больших количествах он приобретает резкий, неприятный характер.


Интересное строение имеет молекула озона. В ней средний атом кислорода связан ковалентными неполярными связями с двумя боковыми атомами. Но есть еще одна ковалентная связь, электронная плотность которой распределена между всеми тремя атомами кислорода. При этом атомы расположены друг относительно друга под углом порядка 117 градусов.


В атмосфере озон образуется из кислорода во время грозовых электрических разрядов, ультрафиолетового облучения в слоях стратосферы (1015 км от Земли). Все мы, наверное, слышали об озоновом «экране», защищающем нашу среду обитания от губительного солнечного излучения. Этот «экран» хрупок и сам нуждается в защите от некоторых опасных промышленных соединений, например, атомарных хлора и брома. Эти вещества у нас на слуху под общим названием фреоны. Они применяются для работы холодильных установок и как пропелленты (наполнители) в аэрозольных баллончиках.


Озон способен быстро распадаться, выделяя атомарный кислород  сильнейший окислитель, оказывая тем самым мощное бактерицидное действие. Фактически удаляются все органические загрязнения на самых разных поверхностях, будь то одежда, инструменты, помещение в целом, вода и даже воздух. Отбеливание целлюлозы по современным методам тоже проводят с помощью озона. В общем, отдадим должное озону, важную роль он играет в жизни и деятельности человека. Но так ли отчаянно благороден этот «рыцарь в стальных доспехах»?

Ваша оценка очень важна

0
Шрифт
Фон

Помогите Вашим друзьям узнать о библиотеке

Скачать книгу

Если нет возможности читать онлайн, скачайте книгу файлом для электронной книжки и читайте офлайн.

fb2.zip txt txt.zip rtf.zip a4.pdf a6.pdf mobi.prc epub ios.epub fb3