Валерий Асадов - Дополнение к собранию сочинений. Выпуск 2. Открой зеленую дверь, в белой стене. И ступи на лунно-звездную дорожку. Под музыку небесных сфер стр 3.

Книгу можно купить на ЛитРес.
Всего за 40 руб. Купить полную версию
Шрифт
Фон

Плотность нейтрона и всех остальных возбужденных частиц формула 12.

Радиус нейтрона и всех остальных возбужденных частиц формула 13.


Обозначение величин к формулам (1) и (2):

ml  масса планкеона, равная 1,539*10^-5 грамм

mp  масса протона. Планкеон  это протон, со временем уменьшающийся в массе,

Tm  возраст Вселенной  время, в течение которого планкеон  протон меняет свою массу,

Tgr,  1 сек  время раздела метрик пространства, времени и материи. Это не случайная граница времени, у неё есть еще свойства и эффекты,

g  гравитационная постоянная, равная 6, 671967*108 см^3/ грамм*сек^2

c  скорость света,

h  постоянная Планка,

R  радиус тела, расстояние до точки измерения времени,

r  Гравитационный радиус тела. Когда R  радиус тела станет меньше г. р, то время станет отрицательным,

a  Викториальная постоянная, равная 1,4711*10^9 грамм*сек/ см^2

v  Скорость,

M  Масса тела.

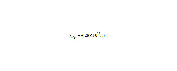
Tm- Возраст Вселенной  сейчас =291 604 086 700 лет, или 9,28*10^18 сек


Рис.6.


Mo-Масса Вселенной  сейчас =1,857*10^57 грамм

h-постоянная Планка

c-скорость света

tl-время рождения Вселенной  7,6234*10^-44 сек

g-константа воспроизводства -3.1083*10^33 грамм^2


6.27.5. В  пятых, в Таблице 16. приведены все постоянные и константы, которые на самом деле постоянные. И которые, нам кажутся постоянными на данный момент времени, но на самом деле, являются переменными константами (постоянными) во времени


Таб. 2.


Таб. 2.1. Продолжение


Таб. 2.2. Продолжение


Таб. 2.3. Продолжение Это формулы задействованые и примененные автором в Динамической временной физики.


6.27.6. Теперь можно, наконец, перейти к вычислению информационной емкости нашей Вселенной. Задействуем точные вычисленные значения (а не те общепризнанные, которые приблизительные, возможные и условные), которые вычислены по формулам Динамической Временной Физики Таблица 1, которая показала на протяжение более сорока лет, свою действенность, точность в вычислениях, эффективность и правильность.


Рис. 7.


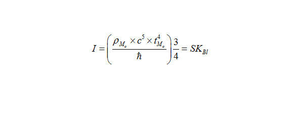
Рис. 8. формула БекенштейнаХокинга для энтропии черных дыр,


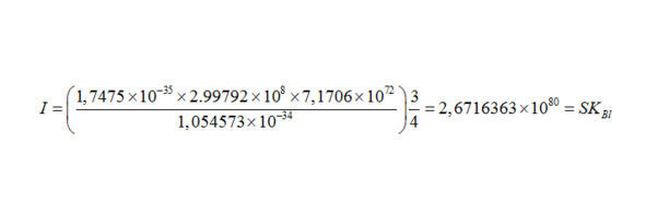
Вот, а теперь вставим точные значения параметров нашей Вселенной на настоящее время:

Масса Вселенной на настоящее время =1,857*10^57 грамм

Возраст Вселенной на настоящее время =291 604 086 700 лет, в секундах, это = 9,2021285*10^18 сек

Плотность Вселенной на настоящее время = 1,7475*10^-32 грамм/см^3

Расчет этой формулы, по данным динамической временной физики:


Рис. 8. формула БекенштейнаХокинга для энтропии черных дыр,


Рис. 9. Это первый способ вычисления информационной емкости Вселенной, по формула БекенштейнаХокинга для энтропии черных дыр, произведенный по данным полученным в Динамической временной физики.


Рис. 10.


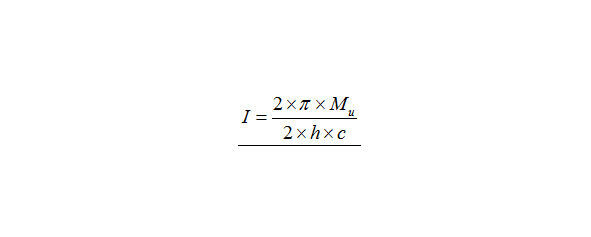
Рис.11. Расчет по этой формуле (это второй способ вычисления информационной емкости Вселенной) этой формулы, по данным динамической временной физики:


Рис. 12. По расчетам получается вот такое значение:


Рис. 13. А также вычислили значение и величину общей Энтропии Вселенной.


Рис. 14. Вот ее значение на данный момент:


где S-общая энтропия Вселенной, в которой доминирует материя, kB-постоянная Больцмана,

ρ  плотность материи Вселенной,

t-возраст Вселенной в настоящее время,

c-скорость света, и

ħ-приведенная постоянная Планка.

Ваша оценка очень важна

0
Шрифт
Фон

Помогите Вашим друзьям узнать о библиотеке

Скачать книгу

Если нет возможности читать онлайн, скачайте книгу файлом для электронной книжки и читайте офлайн.

fb2.zip txt txt.zip rtf.zip a4.pdf a6.pdf mobi.prc epub ios.epub fb3