Валерий Асадов - Дополнение к собранию сочинений. Выпуск 2. Открой зеленую дверь, в белой стене. И ступи на лунно-звездную дорожку. Под музыку небесных сфер стр 2.

Книгу можно купить на ЛитРес.
Всего за 40 руб. Купить полную версию
Шрифт
Фон

6.27.1. В первых: Надо учитывать то, какая реальная наша модель Вселенной: Согласно решениям уравнений Фридмана, она имеет такие свойства и параметры:

1. Космологический член 1. Космологический член

2. Индекс кривизны равен =0.

3. Радиус кривизны равен = бесконечности.

4. Давление рано =0.

5. Безразмерное ускорение равно =1/2. (параметр замедления)

6. Расширение Вселенной бесконечно и неограниченно.

7. Наш мир и его геометрия пространство является Евклидовым.

6.27.2. Во вторых: Надо учитывать, что в связи с расширением нашей Вселенной, многие ее параметры изменяются со временем. Вот таблица некоторых параметров Вселенной от ее рождения до настоящего времени:


Таблица 1. Формул динамической временной физики.


Таблица 1. Продолжение. Формул динамической временной физики.


6.27.3. В третьих: Надо так же учитывать, что некоторые так называемые константы и постоянные, на самом деле имеют привычку менять свои значения со временем. Это, например такие постоянные, как:

1. Постоянная Больцмана меняется со временем, которая вычисляется согласно формуле, в которую входит постоянная Авогадро.



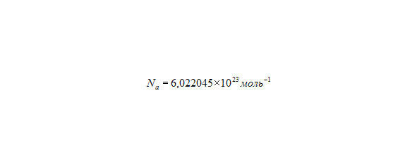
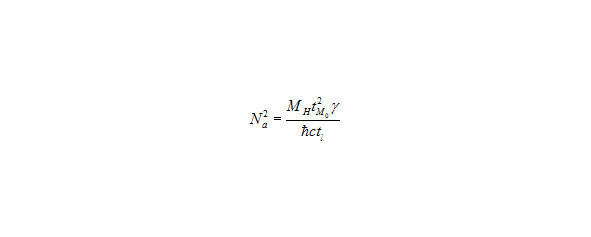
2. Постоянная Авогадро, которая также изменяется согласно времени по выведенной формуле:



И если подставить вычисленные значения параметров нашей Вселенной то получим, точно же такое значение, ранее как полученную экспериментально. Выведенное значение постоянной Авогадро

по формуле (14), идентично значению полученную экспериментальным путем.



Здесь меняются две величины  это моль водорода и возраст Вселенной. Основная величина  это время. Вначале это была маленькая величина, с возрастом эта величина увеличивается. Изменяются также и другие величины, термодинамические со временем.

6.27.4. В четвертых: Надо так же учитывать, что согласно плотностно -временной классификации частиц, элементарных частиц всего четыре: Это протон, электрон, фотон и два вида нейтрино.

Планкеон  это особая или, вернее, фундаментальная частица.

Планкеон распадается на протон и электрон.

А после одной секунды, это нейтрон распадается на протон и электрон, то есть, нейтрон относиться к возбужденным частицам.

2. Второй сорт частиц это кванты энергии  фотон, нейтрино. У них нет ни плотности, ни размеров, но они стабильны.

3. И третий сорт частиц (возбужденные частицы)  это барионы, мезоны и другие. Плотность у них нужно связывать со временем жизни частиц.

Такая связь есть, где l  приведенная длина, равная 0.248626 метр и если произвести расчет, то получится, где


Рис. 5


то протон, электрон, фотон и два вида нейтрино. А вот все остальные частицы являются возбужденными, и все. И их формулы находятся в таблице . 1.

Масса протона формула 10. Эта формула показывает, как изменяется масса протона от времени, то есть чем больше возраст Вселенной, тем меньше масса протона. И эта формула показывает прямую зависимость изменения масса протона от массы Вселенной.

Плотность протона формула 11.

Плотность нейтрона и всех остальных возбужденных частиц формула 12.

Радиус нейтрона и всех остальных возбужденных частиц формула 13.


Обозначение величин к формулам (1) и (2):

ml  масса планкеона, равная 1,539*10^-5 грамм

mp  масса протона. Планкеон  это протон, со временем уменьшающийся в массе,

Tm  возраст Вселенной  время, в течение которого планкеон  протон меняет свою массу,

Tgr,  1 сек  время раздела метрик пространства, времени и материи. Это не случайная граница времени, у неё есть еще свойства и эффекты,

g  гравитационная постоянная, равная 6, 671967*108 см^3/ грамм*сек^2

c  скорость света,

h  постоянная Планка,

R  радиус тела, расстояние до точки измерения времени,

Ваша оценка очень важна

0
Шрифт
Фон

Помогите Вашим друзьям узнать о библиотеке

Скачать книгу

Если нет возможности читать онлайн, скачайте книгу файлом для электронной книжки и читайте офлайн.

fb2.zip txt txt.zip rtf.zip a4.pdf a6.pdf mobi.prc epub ios.epub fb3