Герман Иванович Ефремов - Макрокинетика сушки стр 7.

Шрифт
Фон

Уравнение (1.22) определяет поле концентраций с учетом молекулярной и конвективной диффузии. Как следует из этого уравнения, для описания макрокинетики процесса переноса массы необходимо учитывать гидродинамику и поэтому уравнение переноса в движущейся среде (1.22) должно быть дополнено уравнениями движения Навье-Стокса (1.10), определяющими поле скоростей и перенос импульса в движущейся среде.

Необходимо также отметить, что приведенные в данном разделе уравнения применимы для изотермической конвективной и молекулярной диффузии. Влияние изменения температуры описывается при молекулярном и конвективном переносе тепла.

1.6 Перенос тепла

Рассмотрим молекулярный перенос тепла аналогично переносу массы (Рис. 1.3). Температура t в общем случае изменяется как в пространстве, так и во времени т. е. .

Тогда поток тепла q, отнесенный к единице поверхности S будет пропорционален градиенту температуры в произвольном направлении n:



Это выражение называется законом теплопроводности Фурье. Здесь коэффициент теплопроводности среды.

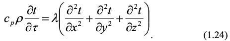
Закон молекулярного переноса теплоты для элементарного объема может быть получен аналогичным образом, как и для переноса массы. Тогда суммарное изменение количества тепла вдоль всех 3-х координат элементарного объема, проявляющееся в изменении температуры, равно изменению температуры, вовремя помноженному на произведение теплоемкости ср на плотность ρ [6]:



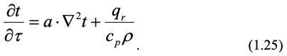
Выражение в скобках в уравнении (1.24) является оператором Лапласа, с учетом его сокращенного обозначения и дополнительного источника тепла qr, например, за счет химической реакции, с введением коэффициента температуропроводности а = / ср ρ, получим для выражения (1.24):



Уравнение (1.25) является следствием закона Фурье и также называется его именем. Оно определяет поле температур для молекулярного переноса тепла в рассматриваемой среде.

Для одномерной теплопроводности, например, вдоль оси х, уравнение (1.25) может быть записано в следующем виде:



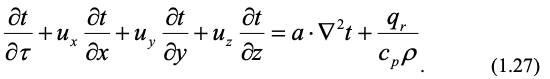
При переносе тепла в движущейся среде имеет место конвективный перенос и перенос за счет молекулярной диффузии. Тогда вместо частной производной температуры по времени в уравнении (1.25) надо писать полную производную, учитывающую и конвективный перенос. С учетом этого для (1.25) получим



Уравнение (1.27) называется уравнением Фурье-Кирхгофа и определяет поле температур с учетом молекулярного и конвективного переноса тепла. Как следует из этого уравнения, для описания макрокинетики процесса теплопереноса необходимо учитывать гидродинамику и уравнение переноса в движущейся среде (1.27) должно быть дополнено уравнениями движения Навье-Стокса (1.10), определяющими поле скоростей в движущейся среде.

1.7 Перенос количества движения

По второму закону Ньютона изменение количества движения в единицу времени (импульс) численно равно силе уравнение (1.8). В движущемся потоке газа или жидкости под действием массовых и поверхностных сил происходят соударения молекул, что обуславливает перенос количества движения. Баланс сил в движущемся потоке представляет собой закон сохранения количества движения (импульса). На основе баланса сил получена выше система уравнений Навье-Стокса (1.10).

Строго говоря, т. к. система уравнений Навье-Стокса получена на основе закона Ньютона для вязкостного трения (1.9), учитывающего молекулярный перенос количества движения (микроперенос), она применима только для струйчатого, ламинарного движения вязкой жидкости.

Если жидкости отклоняются от закона Ньютона, то их называют неньютоновскими. К ним относятся жидкие полимеры, растворы высокомолекулярных полимеров, суспензии и др.

Макроперенос количества движения обусловлен конвективными токами, турбулентными образованьями, вихрями. Если микроперенос осуществляется только за счет теплового движения молекул, то макроперенос обусловлен не только молекулярным механизмом, но главным образом за счет более быстрого переноса макроколичеств среды. В результате этого в жидкости возникает дополнительное трение. Оно учитывается коэффициентом турбулентной вязкости т. Тогда формула (1.9) примет вид:

Ваша оценка очень важна

0
Шрифт
Фон

Помогите Вашим друзьям узнать о библиотеке

Скачать книгу

Если нет возможности читать онлайн, скачайте книгу файлом для электронной книжки и читайте офлайн.

fb2.zip txt txt.zip rtf.zip a4.pdf a6.pdf mobi.prc epub ios.epub fb3