Герман Иванович Ефремов - Макрокинетика сушки стр 8.

Шрифт
Фон

Можно показать [6], что в этом случае система уравнений Навье-Стокса формально останется той же (1.10), но вместо ньютоновской вязкости μ необходимо подставить в нее сумму ньютоновской и турбулентной вязкости μт.

Поле скоростей при микропереносе количества движения определяется при решении системы уравнений Навье-Стокса (1.10), а при макропереносе количества движения определяется из решения системы уравнений Навье-Стокса с учетом турбулентной вязкости. Следует отметить, что если ньютоновская вязкость является величиной постоянной для данной среды, то турбулентная вязкость зависит от масштаба турбулентности и поэтому при ее расчете, возникают определенные трудности.

1.8 Аналогия процессов переноса

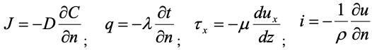
Сравнивая выражения для трех видов молекулярного переноса массы (1.18) закон Фика, переноса тепла (1.23) закон Фурье и переноса количества движения (1.9) закон Ньютона, нетрудно заметить, что по форме они абсолютно аналогичны.



.

Здесь эти уравнения дополнены еще одним видом переноса переносом электричества. Где u градиент напряжения или электрический потенциал, ρ удельное сопротивление электрического тока.

Имеется очевидное подобие выражений для конвективного переноса массы (1.22), переноса тепла (1.27) закон Фурье и переноса количества движения (1.10), записанных ниже для одномерного потока:



Приведенные уравнения тождественны по форме. Их левые части представляют собой, соответственно, скорость переноса массы, теплоты и количества движения в пространстве. Первые члены правой части представляют собой, соответственно, скорость молекулярного переноса массы, теплоты и количества движения, а вторые характеризуют интенсивность внешнего источника. Одинаковая форма уравнений, описывающих разные виды переноса, указывает на подобие полей концентраций, температур и скоростей в рассматриваемых процессах.

На аналогию трех видов переноса указывает и одинаковая размерность коэффициентов переноса а, D и ν равная [м2/с]. Для газов механизм молекулярного переноса одинаков для переноса массы, теплоты и количества движения, т. к. связан с тепловым движением молекул. Поэтому все три коэффициента имеют один порядок с произведением длины свободного пробега молекул L на скорость их теплового движения u*:



.

Для жидкостей соотношение этих коэффициентов следующее:

ν аD.

При турбулентном движении газа и жидкостей роль всех трех коэффициентов может играть коэффициент турбулентного обмена [10], равный для изотропной турбулентности произведению масштаба турбулентности l на среднюю пульсационную скорость u.

Подобие различных видов переноса позволяет использовать общий математический аппарат, общие методы решения уравнений, описывающих перенос. Для моделирования различных процессов переноса можно использовать метод электродинамической аналогии на аналоговых ЭВМ (подобие переносу электричества) или подобие другого вида переноса. Так, передаче тепла теплопроводностью соответствует молекулярный массоперенос, а передаче тепла конвекцией конвективный массоперенос. Только передача тепла излучением (передача энергии в форме электромагнитных волн в инфракрасном спектре) не имеет аналогии в массопереносе.

Вследствие подобия теоретические и экспериментальные результаты исследования, например, процессов теплопереноса могут быть непосредственно применены к процессам диффузии и наоборот [10]. В то же время экспериментальное изучение теплопереноса проводится в среде с переменной температурой. При этом на результатах исследования сказывается зависимость физических констант от температуры и приходится использовать усредненные по температуре значения этих констант, что вносит погрешности в расчеты. По этой причине можно рекомендовать для получения более точных зависимостей для конвективного теплопереноса использовать метод аналогии с массопереносом. По этой же причине в данной монографии наибольшее внимание уделено массопереносу, а вопросы теплопереноса рассмотрены как вторичные.

1.9 Экспериментальный подход к исследованию процессов переноса

Как следует из вышеизложенного, расчеты процессов микро- и макропереноса достаточно сложны, т. к. необходимо решать систему уравнений в частных производных, причем расчеты конвективного переноса массы, теплоты и количества движения значительно сложнее молекулярного переноса. Решение такой системы уравнений возможно в ряде частных случаев, а в общем случае возможно только численными методами и поэтому прибегают к использованию эмпирических зависимостей.

Ваша оценка очень важна

0
Шрифт
Фон

Помогите Вашим друзьям узнать о библиотеке

Скачать книгу

Если нет возможности читать онлайн, скачайте книгу файлом для электронной книжки и читайте офлайн.

fb2.zip txt txt.zip rtf.zip a4.pdf a6.pdf mobi.prc epub ios.epub fb3