Герман Иванович Ефремов - Макрокинетика сушки стр 6.

Книгу можно купить на ЛитРес.
Всего за 199 руб. Купить полную версию
Шрифт
Фон

Макроперенос это перенос определенных объемов массы, перенос энергии этих объемов, перенос количества движения, которым обладают эти объемы. Макроперенос обусловлен наличием конвекции (свободной или вынужденной), вихреобразованиями. Кинетика процесса макропереноса называется макрокинетикой.

Рассмотренные выше примеры микропереноса могут быть реализованы в условиях макропереноса. Так для ускорения диффузии красителя в сосуде с водой необходимо использовать перемешивание. Возникающие при этом циркуляционные токи значительно быстрее, чем при микропереносе, выровняют концентрацию красителя по всему объему.

В примере с теплопереносом от нагретого шара к жидкости, для интенсификации процесса также достаточно применить перемешивание. Конвективный макроперенос тепла протекает значительно быстрее, чем перенос теплопроводностью.

Макроперенос количества движения происходит, например, при осаждении крупных частиц в турбулентном режиме за счет образования турбулентных завихрений. Движение частицы в этом случае описывается законом Ньютона.

При макропереносе имеет место также и микроперенос, однако интенсивность последнего намного ниже. При движении среды макроперенос, как правило, превалирует по сравнению с микропереносом. Именно поэтому макрокинетика наиболее важна, как определяющая все виды процессов переноса переноса массы, энергии и количества движения или импульса.

1.5 Перенос массы

Рассмотрим поток вещества J в пространстве (Рис. 1.3). Концентрация вещества С изменяется в пространстве и во времени т. е. .

Вектор потока вещества между двумя изотермическими поверхностями, расположенными на бесконечно малом расстоянии dn друг от друга перпендикулярен к поверхности в любой точке [6].



Рис. 1.3 Поток вещества в пространстве.


Поток вещества J, отнесенный к единице поверхности S в этом случае будет пропорционален градиенту концентрации:



Это выражение называется 1-м законом Фика. Здесь D коэффициент диффузии.

Закон молекулярного переноса массы (вещества) для элементарного объема может быть получен следующим образом. Рассмотрим поток вещества через грани элементарного объема.

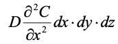
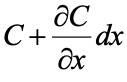
Расход вещества, обусловленный диффузией вдоль оси х через левую поверхность dy·dz (Рис. 1.4), с учетом закона Фика, составит.



На расстоянии dx, с учетом изменения концентрации, получим ее значение



.

Тогда расход вещества, обусловленный диффузией вдоль оси х через правую грань dy·dz, составит

Таким образом, за счет изменения концентрации вдоль оси х в элементарный объем поступит количество вещества.





Рис. 1.4 К выводу 2-го закона Фика.


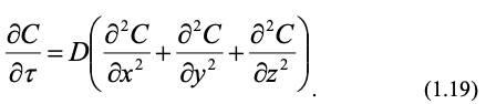
Аналогично определяется изменение количество вещества вдоль остальных осей. Суммарное изменение количество вещества, в пересчете на единицу объема, вдоль всех координат должно быть равно изменению его концентрации во времени:



Выражение в скобках в уравнении (1.19) является оператором Лапласа. С учетом его сокращенного обозначения и образования вещества за счет химической реакции при скорости образования r получим для выражения (1.19):



Уравнение (1.20) является следствием закона сохранения массы и 1-го закона Фика и называется 2-м законом Фика. Оно определяет поле концентраций для молекулярной диффузии в рассматриваемой среде.

Для изотропной диффузии уравнение (1.20) может быть записано для изменения вдоль любой оси, например х, в следующем виде:



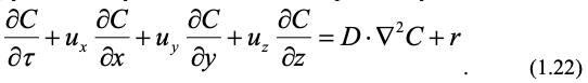
При переносе массы в движущейся среде имеет место конвективный перенос и перенос за счет молекулярной диффузии. Тогда вместо частной производной концентрации по времени в уравнении (1.20) надо писать полную производную, учитывающую и конвективный перенос. С учетом этого для (1.20) получим:



Уравнение (1.22) определяет поле концентраций с учетом молекулярной и конвективной диффузии. Как следует из этого уравнения, для описания макрокинетики процесса переноса массы необходимо учитывать гидродинамику и поэтому уравнение переноса в движущейся среде (1.22) должно быть дополнено уравнениями движения Навье-Стокса (1.10), определяющими поле скоростей и перенос импульса в движущейся среде.

Ваша оценка очень важна

0
Шрифт
Фон

Помогите Вашим друзьям узнать о библиотеке

Скачать книгу

Если нет возможности читать онлайн, скачайте книгу файлом для электронной книжки и читайте офлайн.

fb2.zip txt txt.zip rtf.zip a4.pdf a6.pdf mobi.prc epub ios.epub fb3