Герман Иванович Ефремов - Макрокинетика сушки стр 5.

Книгу можно купить на ЛитРес.
Всего за 199 руб. Купить полную версию
Шрифт
Фон

.

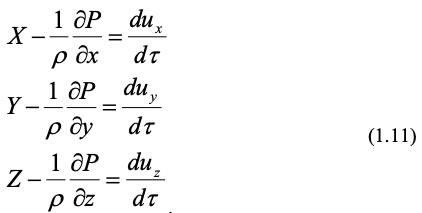
Аналогично записываются уравнения для осей у и z.

1.3 Закон сохранения энергии

Рассмотрим сначала закон сохранения энергии для движения идеальной жидкости. Так как в идеальной жидкости отсутствуют силы вязкостного трения, то для этого случая из системы уравнений (1.10), положив проекции силы вязкости равным нулю, получим следующую систему (система уравнений движения идеальной жидкости Эйлера):



.

Помножим эти уравнения соответственно на dx, dy, dz и сложим. Тогда, преобразуя, получим следующее уравнение:



В поле силы тяжести (Х = 0; У = 0; Z = g) уравнение (1.12) примет вид:



Это уравнение определяет в дифференциальном виде закон сохранения энергии для движения идеальной жидкости и представляет собой, соответственно, сумму удельных (отнесенных к единице массы) потенциальных энергий положения и давления и кинетической энергии. При интегрировании уравнения (1.13) для потока несжимаемой жидкости (ρ = Const) получим уравнение Бернулли для одномерного потока, движущегося со средней скоростью v:



Уравнение Бернулли показывает, что для идеальной жидкости сумма потенциальной и кинетической энергий остается постоянной вдоль всего потока.

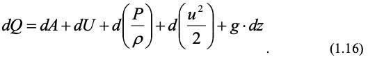
В более общей форме закон сохранения энергии описывает 1-й закон термодинамики: теплота, подводимая к системе, идет на производство работы и увеличение энергии системы:



Выражение для потока энергии в дифференциальном виде включает ее члены, входящие в уравнение (1.13) плюс, внутренняя энергия dU. С учетом этого запишем уравнение (1.15) в следующем виде:



Сумма второго и третьего членов правой части уравнения (1.16) представляет собой изменение энтальпии dh. С учетом этого получим другой вид уравнения (1.16):



1.4 Микро- и макроперенос

Молекулярный перенос, называемый еще микропереносом, происходит вследствие беспорядочного теплового движения микрочастиц (броуновское движение), когда среда в целом неподвижна. Перенос массы при наличии молекулярного переноса называется молекулярной диффузией. Перенос тепла под действием молекулярного переноса называется теплопроводностью. Перенос количества движения под действием молекулярного переноса происходит при наличии молекулярного (вязкостного) трения при ламинарном движении среды. Процесс микропереноса описывается микрокинетикой.

Примером микропереноса массы может служить диффузия капли красителя, чернил в сосуде с водой, происходящая вследствие теплового движения молекул воды. В процессе переноса массы в сосуде создаются поля концентрации красителя. Эти поля изменяются во времени (микрокинетика) до момента равномерного распределения концентрации красителя по всему объему. Процесс в зависимости от свойств и параметров (объем, температура) системы может занять от долей секунды до нескольких часов и даже суток. Движущей силой переноса в этом случае является разность концентраций красителя в разных точках объема. Поля концентраций в этом случае не стационарны. Достижение момента равномерного распределения концентрации красителя соответствует состоянию материального равновесия (постоянства состава по объему).

В качестве примера микропереноса тепла можно рассмотреть процесс теплопереноса при погружении нагретого шара в сосуд с жидкостью. Микроперенос обеспечивается теплопроводностью жидкости и шара. Поле температур изменяется во времени до момента установления равенства температур в погруженном теле и в жидкости. Движущей силой переноса в этом случае является разность температур в разных точках объема. Поле температур как в теле, так и в жидкости не стационарно. Достижение момента равномерного распределения температур соответствует состоянию теплового равновесия (постоянства температуры во всем объеме).

Примером микропереноса количества движения, происходящего вследствие наличия молекулярного (вязкостного) трения при ламинарном движении среды может служить осаждение малых частиц в жидкости. При осаждении скорость частицы возрастает от нуля до конечного значения, обусловленного равновесием сил, действующих на частицу тяжести, архимедовой и сопротивления среды. Движение частицы в этом случае описывается законом Стокса. Движущей силой переноса в этом случае является разность скоростей. Движение частицы в начальный период не стационарно. При достижении постоянной скорости осаждения (сила инерции частицы равна нулю) достигается постоянство распределения скоростей (эпюры скоростей) при осаждении частицы. Движение частицы становится стационарным.

Ваша оценка очень важна

0
Шрифт
Фон

Помогите Вашим друзьям узнать о библиотеке

Скачать книгу

Если нет возможности читать онлайн, скачайте книгу файлом для электронной книжки и читайте офлайн.

fb2.zip txt txt.zip rtf.zip a4.pdf a6.pdf mobi.prc epub ios.epub fb3