Герман Иванович Ефремов - Макрокинетика сушки стр 4.

Книгу можно купить на ЛитРес.
Всего за 199 руб. Купить полную версию
Шрифт
Фон

1.1 Закон сохранения массы

Одним из главных законов при переносе массы является закон сохранения массы. Этот закон установлен М. В. Ломоносовым. Для элементарного объема он может быть получен следующим образом.



Рис. 1.1 К выводу закона сохранения массы.


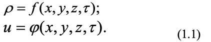
Рассмотрим поток вещества через грани элементарного объема. Плотность ρ и скорость потока u в общем случае изменяются в пространстве и во времени:



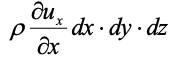
Рассмотрим изменение массы вдоль оси х (Рис. 1.1). Если проекция скорости потока на входе в элементарный объем ux, то на выходе из него, с учетом изменения на длине dx она составит:



.

Тогда изменение массы вдоль оси х за счет изменения скорости составит:



.

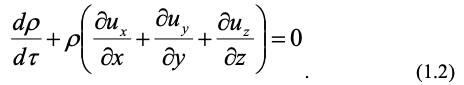
Аналогично определяется изменение массы вдоль остальных осей. Суммарное изменение массы, отнесенное к единице объема, вдоль всех координат должно быть равно нулю:



Выражение в скобках в уравнении (1.2) называется дивергенцией вектора скорости и обозначается divu. С учетом его получим для (1.2):



Это выражение закона сохранения массы и оно известно в гидродинамике, как уравнение сплошности, неразрывности потока. В элементарной форме это уравнение для одномерного потока, движущегося со средней скоростью v примет вид:



где М массовый расход потока, S площадь его поперечного сечения.

Для несжимаемых жидкостей (ρ = Const) уравнение (1.3) упрощается:



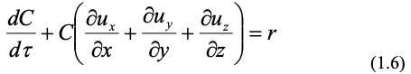
Для описания химического процесса в уравнении (1.2) вместо плотности подставляют массовую концентрацию компонента С. С учетом скорости образования этого компонента по химической реакции r, если она имеет место, для уравнения (1.2) получим:



С учетом, что концентрация компонента изменяется в пространстве и во времени, получим:



В частном случае для стационарных процессов первый член в левой части уравнения (1.6) равен нулю, а в случае отсутствия химической реакции правый член этого уравнения также равен нулю.

1.2 Закон сохранения количества движения

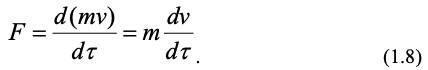
В движущемся потоке газа или жидкости действуют массовые и поверхностные силы. Они оказывают влияние на взаимодействие, соударения молекул, что обуславливает перенос количества движения. По второму закону Ньютона изменение количества движения в единицу времени (импульс) численно равно силе:



Поэтому баланс сил в движущемся потоке представляет собой закон сохранения количества движения (импульса).



Рис. 1.2 К выводу закона сохранения количества движения.


Рассмотрим равновесие сил в движущемся потоке в проекциях на ось х (Рис. 1.2). На правую и левую грани действуют силы давления. Их проекция на ось х составит



.

Проекция массовой силы Q на ось х запишется:



.

На верхнюю и нижнюю грани действуют силы вязкостного трения. Их проекция на ось х составит .

С учетом закона Ньютона для вязкостного трения:



имеем проекцию сил вязкостного трения на ось х:



.

Здесь выражение в скобках оператор Лапласа от проекции скорости на ось х, он обозначается Δux или 2ux.

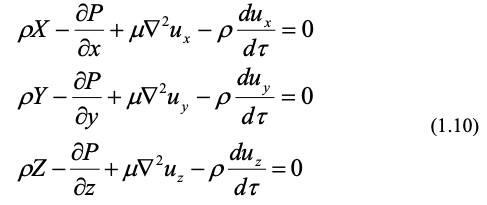
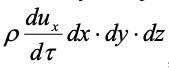
Так как сумма проекций всех сил равна проекции силы инерции:



,

относя все силы к единице объема, получим:



Последние два уравнения получены аналогично для осей у и z, а в целом система уравнений (1.10) в гидрогазодинамике называется уравнениями движения вязкой жидкости Навье-Стокса и выражает закон сохранения количества движения.

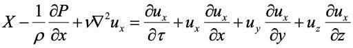
Система уравнений Навье-Стокса может быть записана более детально, если раскрыть полную производную проекции скорости. Так уравнение для оси х, например, при делении всех его членов на ρ , c учетом, что ν = μ/ρ, будет иметь вид:



.

Аналогично записываются уравнения для осей у и z.

1.3 Закон сохранения энергии

Рассмотрим сначала закон сохранения энергии для движения идеальной жидкости. Так как в идеальной жидкости отсутствуют силы вязкостного трения, то для этого случая из системы уравнений (1.10), положив проекции силы вязкости равным нулю, получим следующую систему (система уравнений движения идеальной жидкости Эйлера):

Ваша оценка очень важна

0
Шрифт
Фон

Помогите Вашим друзьям узнать о библиотеке

Скачать книгу

Если нет возможности читать онлайн, скачайте книгу файлом для электронной книжки и читайте офлайн.

fb2.zip txt txt.zip rtf.zip a4.pdf a6.pdf mobi.prc epub ios.epub fb3