Дмитрий Пушин - Как выбрать и выгодно купить коммерческую недвижимость стр 5.

Шрифт
Фон

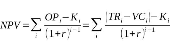
Таким образом, доходность объекта недвижимости определяется с помощьюприведенной величины доходов (NPV)и рассчитывается по формуле:



где OPi  операционная прибыль в i-й год владения недвижимостью; Ki  величина инвестиций в объект недвижимости в i-й год владения; TRi  величина доходов от аренды в i-й год владения недвижимостью; VCi  величина текущих годовых издержек в i-й год владения недвижимостью.


Срок окупаемости объекта недвижимости(Ток)определяется на основе соотношений приведенной величины операционной прибыли(NPVi (OP))и операционной прибыли нарастающим итогом(NPVi (OP))по формуле:



где Ni  номер i-го года, в котором дисконтированная операционная прибыль нарастающим итогом становится положительной; NPVi (OP)  величина дисконтированной операционной прибыли нарастающим итогом в i-й год владения недвижимостью; NPVi (OP) величина дисконтированной операционной прибыли от объекта недвижимости в i-й год владения.


Не допустить ошибку, упростить и ускорить расчет поможет калькулятор, сделанный специально для определения показателей окупаемости и доходности инвестиций в недвижимость.

Вы задаете основные переменные такие как стоимость объекта, ставку дисконтирования, эксплуатационные расходы, процент простоя и прочие. И в результате получаете значения окупаемости и доходности:



Вы можете скачать калькулятор по ссылке:



ROE (ДОХОДНОСТЬ НА СОБСТВЕННЫЙ КАПИТАЛ)


Выше мы рассмотрели расчет доходности без учета того на какие средства приобретается объект недвижимости  собственные или заемные.

При этом использование заемных средств может как повысить эффективность инвестиции, так и наоборот  понизить. А в ряде случаев и вовсе привести к отрицательным значениям доходности.

Для того чтобы учесть влияние заемных средств на эффективность инвестиции и определения доходности на вложенные собственные средства используют показатель ROE (Return on Equity).



Рассмотрим расчет показателя ROE на примере


В бизнес-центре на продажу выставили три офиса по 30 кв. м. каждый. Стоимость всех офисов одинакова и составляет 2 250 000 рублей. Все офисы продаются с арендаторами. Арендная плата  750 рублей за кв. м. в месяц, все коммунальные платежи арендаторы оплачивают дополнительно. Общая сумма расходов, за вычетом коммунальных платежей  40 000 рублей в год за офис. Месяц назад вы продали однокомнатную квартиру и у вас на депозите лежит 2 250 000 руб.

В первом случае вы на все денежные средства, полученные с продажи квартиры покупаете одно офисное помещение. Доходность вашей инвестиции составит:



Во втором случае вы берете кредит в размере 4 500 000 под 7,5% годовых сроком 15 лет и покупаете все три офиса. Ежемесячный платеж по кредиту 41 715 рублей в месяц.

Доходность инвестиции на вложенный капитал составит:



С одной стороны, среднегодовая доходность во втором случае ниже, но если учесть, что в собственности у вас становится не одно а три помещения, которые вы можете через определенный период времени продать получив дополнительную прибыль, становится очевидным преимущество покупки недвижимости с привлечением заемных средств.

Во третьем случае вы берете кредит в размере 4 500 000 под 9,5% годовых сроком 10 лет и покупаете все три офиса. Ежемесячный платеж по кредиту составит 58 230 рублей в месяц.

Здесь доходность инвестиции на вложенный капитал уже получится отрицательной:



Доходность тесно связана с другим параметром инвестиций в недвижимость  риском.

Как правило всегда соблюдается прямая зависимость  чем выше доходность, тем выше риск и наоборот.

Так же как окупаемость и доходность, степень риска напрямую влияет на рыночную стоимость объекта недвижимости. Рассмотрим какие риски нужно учитывать при выборе и покупке коммерческой недвижимости и как можно ими управлять.

Ваша оценка очень важна

0
Шрифт
Фон

Помогите Вашим друзьям узнать о библиотеке

Скачать книгу

Если нет возможности читать онлайн, скачайте книгу файлом для электронной книжки и читайте офлайн.

fb2.zip txt txt.zip rtf.zip a4.pdf a6.pdf mobi.prc epub ios.epub fb3