Дмитрий Пушин - Как выбрать и выгодно купить коммерческую недвижимость стр 4.

Шрифт
Фон

Пример формулировки выгодной вам как Арендодателю:

«Размер Арендной платы может быть изменен в одностороннем порядке Арендодателем не чаще одного раза в 12 месяцев, и не более чем на ____% (_________ процентов) от размера Арендной платы предыдущего года Срока аренды, путем письменного уведомления Арендатора за 30 (Тридцать) дней до даты изменения.

Стороны пришли к соглашению, что изменение размеров Арендной платы, произведенное Арендодателем в рамках, установленных настоящим пунктом, не требует заключения между Сторонами дополнительного соглашения и не являются изменением размера Арендной платы в смысле ст. 614 ГК РФ, а только определяют порядок оплаты, согласованной Сторонами Арендной платы.»

Хорошо также прописать в договоре возможность изменения ставок раньше, чем по истечению 12 месяцев в случае форс-мажоров и изменения экономической ситуации в стране. Например, при резком увеличении инфляции.

Уделив достаточное внимание условиям индексации ставок аренды, вы защитите себя и сохраните заданную норму доходности по объекту.


СУММА КАПИТАЛОВЛОЖЕНИЙ В ОБЪЕКТ ПЕРЕД СДАЧЕЙ В АРЕНДУ


Посчитайте какую сумму необходимо потратить на ремонт и чистовую отделку перед сдачей помещения в аренду. Иногда ремонт в помещении, купленном в предчистовой отделке, обходится дешевле чем ремонт под нового арендатора в помещении с устаревшей отделкой и большим количеством ненужных стен и перегородок.


ЭКСПЛУАТАЦИОННЫЕ РАСХОДЫ, НЕ ВКЛЮЧЕННЫЕ В АРЕНДНЫЕ ПЛАТЕЖИ


Обычно арендатор возмещает расходы на электроэнергию и водоснабжение, по факту потребления ресурсов. Прочие коммунальные и эксплуатационные расходы оплачивает арендодатель. К ним относят расходы на отопление, капитальный ремонт и услуги управляющей компании по обслуживанию помещения.


РАСХОДЫ НА ТЕКУЩИЙ И КАПИТАЛЬНЫЙ РЕМОНТ ОБЪЕКТА


По коммерческим помещениям в многоквартирных домах расходы на капитальный ремонт включены в «платежку», распределяются равномерно, понятны и прогнозируемы. При покупке отдельно стоящего здания важно провести его аудит, чтобы определить какие вложения потребуются в будущем.


НАЛОГ НА ДОХОДЫ И НАЛОГ НА ИМУЩЕСТВО


Перед покупкой важно ответить на ряд вопросов. Как оформить помещение  на физическое лицо, ИП или организацию. Для каких целей вы приобретаете помещение  для собственного бизнеса или для сдачи недвижимости в аренду. Эти и другие вопросы влияют на налоговые отчисления по объекту недвижимости и соответственно чистую прибыль.


ПРОЧИЕ РАСХОДЫ


 Расходы на страхование;

 Расходы на аренду земельного участка;

 Комиссии риелторам, юристам.


ПРОЦЕНТ ПРОСТОЯ


Даже самые ликвидные помещения периодически пустуют. Сюда же относятся «арендные каникулы», которые предоставляются арендатору на время проведения ремонтных работ.


СТАВКА ДИСКОНТИРОВАНИЯ


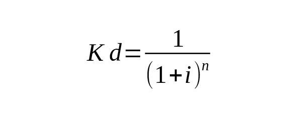
Дисконтирование учитывает изменение стоимости денег во времени и определяется путем умножения будущих денежных потоков на коэффициент дисконтирования:



где

i  Процентная ставка;

n  Номер периода.


Ставку дисконтирования используют, чтобы учесть влияние инфляции. Например, чтобы сравнить реальную доходность по объекту в России с покупкой недвижимости в другой стране. Также чтобы сравнить инвестицию в недвижимость с другими вариантами инвестиций  более рискованными и менее рискованными.


ГОРИЗОНТ ИНВЕСТИРОВАНИЯ И ИЗМЕНЕНИЕ СТОИМОСТИ ОБЪЕКТА ВО ВРЕМЕНИ


Горизонт инвестирования  промежуток времени, в течение которого инвестор планирует владеть объектом недвижимости. Он влияет на значение средней доходности за выбранный период и учитывает взаимосвязь и изменение отдельных показателей во времени.

Например, вы покупаете объект недвижимости в новом застраивающимся районе. Где через пять лет будет открыта новая станция метро. Это событие приведет к росту стоимости вашего объекта недвижимости на 30%. Следовательно средняя доходность объекта при горизонте инвестирования 4 года будет существенно ниже доходности при горизонте инвестирования 6 лет. При условии, что другие переменные не изменятся.

Ваша оценка очень важна

0
Шрифт
Фон

Помогите Вашим друзьям узнать о библиотеке

Скачать книгу

Если нет возможности читать онлайн, скачайте книгу файлом для электронной книжки и читайте офлайн.

fb2.zip txt txt.zip rtf.zip a4.pdf a6.pdf mobi.prc epub ios.epub fb3