Дмитрий Александрович Павлов - Биотехнология в защите растений. Практикум по выполнению лабораторных работ стр 5.

Книгу можно купить на ЛитРес.
Всего за 99.9 руб. Купить полную версию
Шрифт
Фон

Рис. 6. Полиэдры тополевого пилильщика (х15000)


Рис. 7. Гусеницы непарного шелкопряда, пораженные вирусом ядерного полиэдроза


Выход вирусных частиц составляет до 30 % от сухой массы гусениц.

При производстве вирина-ЭКС полиэдры осаждают центрифугированием, из осадка приготовляют суспензию в небольшом количестве дистиллированной воды, добавляют стерильный глицерин до титра 1 млрд. полиэдров в 1 мл. Препарат разливают по флаконам, в объемах, кратных гектарной норме применения.

Формы выпуска виринов сухой порошок или масляная эмульсия на солярном масле. Титр 1 млрд полиэдров/г. Применяют для смазывания яйцекладок непарного шелкопряда на штамбах деревьев и для опрыскивания лесов и садов.


Рис. 8. Марки виринов, применяемые в защите растений


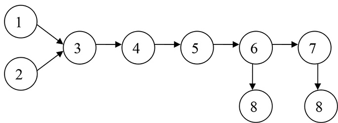
Рис. 9. Блок-схема производства вирусных препаратов:

1 выращивание кормовых растений для гусениц; 2 приготовление питательной среды для фитофага; 3 выращивание гусениц; 4 заражение гусениц вирусом; 5 экспозиция и высушивание погибших гусениц; 6 приготовление жидкого вирина; 7 высушивание препарата; 8 применение

Ваша оценка очень важна

0

Дальше читают

Шрифт
Фон

Помогите Вашим друзьям узнать о библиотеке

Скачать книгу

Если нет возможности читать онлайн, скачайте книгу файлом для электронной книжки и читайте офлайн.

fb2.zip txt txt.zip rtf.zip a4.pdf a6.pdf mobi.prc epub ios.epub fb3