Дмитрий Александрович Павлов - Биотехнология в защите растений. Практикум по выполнению лабораторных работ стр 4.

Книгу можно купить на ЛитРес.
Всего за 99.9 руб. Купить полную версию
Шрифт
Фон

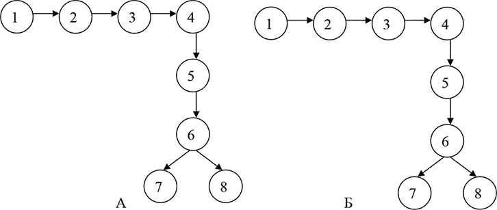
Рис. 4. Блок-схема получения боверина глубинным методом:

1 хранение маточного материала; 2 культивирование исходного штамма в качалочных колбах; 3 получение культуры в инокуляторе; 4 культивация в промышленном ферментере; 5 контроль титра препарата; 6 сепарация и фильтрация, получение пасты; 7 высушивание пасты; 8 стандартизация каолином до ГОСТ; 9 применение жидкого препарата, пасты или сухого препарата


В это время проводят контроль титра культуральной жидкости. Она должна содержать от 0,3 до 1,3 млрд конидий в 1 мл. Количество гонидий не более 35 %. При достижении такого титра можно приступать к применению или сепарации и фильтрации культуральной жидкости. Полученную пасту, состоящую из конидий гриба, высушивают на распылительной сушилке, получая сухой препарат. Его стандартизируют до ГОСТ, добавляя каолин (белую глину).

Технология получения боверина методом поверхностного культивирования. Более дешевым является поверхностное культивирование гриба боверии. Оно производится на жидких или твердых средах (рис. 5).

А. На жидких средах. В состав ИПС входят отвары отходов сельскохозяйственной продукции картофеля, сахарной свеклы, тыквы, зерна, муки и т. п. с содержанием сахаров около 7 %. При этом необходима стерилизация среды в течение 20 мин в автоклаве при 110 ºС с последующим розливом по кюветам.

После охлаждения до 40 ºС кюветы со средой засевают сухими спорами гриба или их суспензией. Среду перемешивают и укрывают полиэтиленовой пленкой для создания благоприятных условий для роста и развития гриба. Через 7-10 суток на поверхности среды образуется белая пленка мицелия с конидиями. Ее снимают, высушивают на стекле, размалывают на шаровых мельницах. Полученные конидиоспоры смешивают с наполнителем торфом, тальком и др.

Б. На твердых средах. В этом случае питательной средой для гриба служит сусло-агаровая среда или отходы овощей, кукурузы, зерновых.

Твердый субстрат (овощи, зерно) подвергают стерилизации в течение 40 мин перегретым паром при 112 ºС. Затем охлаждают и проводят засев спорами боверии, укрывают пленкой. Экспозиция культуры составляет 1215 суток. После получения обильного белого конидиального налета (спороношения) высушивают культуру с остатками субстрата и размалывают до мелкодисперсного порошка.


Рис. 5. Блок-схема получения боверина на жидких (А) и твердых (Б) питательных средах методом поверхностного культивирования:

1 приготовление питательной среды; 2 стерилизация ИПС; 3 засев ИПС спорами боверии; 4 экспозиция культуры; 5(А)  высушивание пленки с конидиями; 5(Б)  высушивание среды с конидиями; 6 разведение высушенного субстрата с конидиями; 7 хранение сухого препарата; 8 применение


Оба способа имеют низкую производительность и применяются в местных условиях (в хозяйствах, районных биолабораториях).

Технология комбинированного получения боверина. Для ускоренного культивирования и получения конидий применяют также комбинированный способ культивации. При этом часть процесса ведут глубинным способом на жидкой ИПС до образования гонидиальной стадии гриба. Выращивание и накопление вегетативной культуры (гонидий) производят в ферментаторах с принудительной аэрацией и перемешиванием в течение 2228 часов. Полученную культуральную жидкость разливают по кюветам и выращивают спороносные пленки методом поверхностного культивирования 45 суток и еще 23 суток для созревания спор. Высушивают пленки, размалывают их и стандартизируют препарат каолином, как при предыдущем способе.

При комбинированном способе производственный цикл составляет 1112 суток. Применяют боверин против листогрызущих вредителей сада и леса (ложногусениц пилильщиков, личинок колорадского жука и других листоедов) с нормой расхода 12 кг/га и сублетальными дозами инсектицидов.

2.3. Технология получения вирусных энтомопатогенных препаратов

Вирусные препараты поражают обычно только 1 вид-мишень вредителей. Вирусные частицы в покоящейся форме устойчивы к неблагоприятным условиям окружающей среды и в виде полиэдров сохраняют активность вне насекомого до 1015 лет. Заражение происходит только при попадании вирусных полиэдров в кишечник насекомого, где в щелочной среде оболочка полиэдра растворяется и частицы вируса проникают в клетки организма насекомого (рис. 6, 7). Размножаться вирусы могут только в живой ткани, поэтому производство препаратов требует поддержания культуры насекомых. Технология производства виринов состоит из следующих этапов: разведение насекомого-хозяина на естественном корме или питательной среде, заражение гусениц суспензией вирусных частиц (из больных особей), сбор погибших гусениц (через 79 дней) и подсушивание при 3335 ºС, измельчение гусениц механически с добавлением физиологического раствора или дистиллированной воды, фильтрация взвеси, высушивание фильтрата или применение в жидком виде (рис. 8, 9).

Ваша оценка очень важна

0
Шрифт
Фон

Помогите Вашим друзьям узнать о библиотеке

Скачать книгу

Если нет возможности читать онлайн, скачайте книгу файлом для электронной книжки и читайте офлайн.

fb2.zip txt txt.zip rtf.zip a4.pdf a6.pdf mobi.prc epub ios.epub fb3