Gennady Gromov - Thermoelectric Microgenerators. Optimization for energy harvesting стр 4.

Книгу можно купить на ЛитРес.
Всего за 80 руб. Купить полную версию
Шрифт
Фон

Chapter 4. Optimization of efficiency

Introduction. In any heat engine the mode of maximum power differs from the mode of maximum efficiency. In this Chapter the operating mode of thermoelectric generator  maximum efficiency is considered in details.

General formula

The value of efficiency η changes with variations of the load resistance Rload similarly to dependence of P vs Rload (e.g., Fig. 3.1). Namely dependence of efficiency η from the ratio m also has a maximum. But this is not the same point as the maximum Pmax. The maximum of η takes place at other value of power Popt somewhat different from the Pmax.

General formula for the efficiency η is the following


Maximum efficiency and maximum power modes

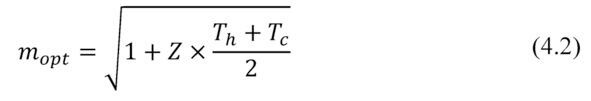
Omitting the detailed math (see Chapter 2), it can be shown that in a simplified form the maximal efficiency ηopt occurs when


where Th and Tc  correspondingly, temperatures of the hot and cold sides of generator; Z  thermoelectric Figure-of-Merit of the generator.


In practice, in applications with small temperature differences and typical Figure-of-Merit of generators, the value mopt given by (4.2) is approximately equal to



With regard to the Pmax and Popt  they are pretty close each other.



It should be noted that the efficiency η at maximum power mode and at maximum efficiency mode are also close to each other. It can be shown if the corresponding values mmax and mopt to apply in formula (4.1), respectively, then



Choosing of practically optimal load resistance between maximum power and maximum efficiency modes can be in the range (Fig. 4.1).



Figure. 4.1 Dependence of the efficiency η and power P related to Pscvs ratio m of resistances for two main generator operation modes  maximuum power (Pmax, mmax, ηmax) and maximum efficiency (Popt, mopt, ηopt).


In practice, use the electric load from this range (4.8) turns out to be more comfortable than to select optimal electric load with exactly the specified value.

From the formula (4.1) with use of (4.3) it can be build a useful table for estimates of the absolute value of the maximum efficiency ηopt of thermoelectric generator depending on temperature difference ΔT (Table 4.1).


Table 4.1 Dependence* of maximum efficiency ηopt vs temperature difference ΔT on a generator.



The common conclusions from formula (4.1) and Table 4.1 are the following:

 in practice, the efficiency ηopt is almost a linear function of the temperature difference ΔT.

 one degree of the temperature difference ΔT gives about 0.05% of maximum efficiency ηopt.

Efficiency and carnot cycle

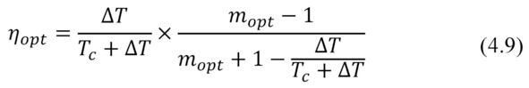
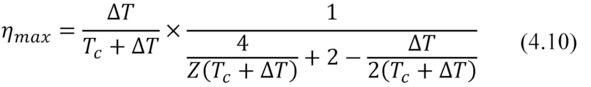
Useful information on the efficiency of thermoelectric generator should be of the following formulas for two marginal efficiency modes: the maximum efficiency mode ηopt and the maximum power mode ηmax.

For these modes the efficiency η can be written as the following:

 for maximum efficiency mode ηopt



 for maximum power mode ηmax



In both formulas (4.9) and (4.10) the first fractional multiplier is, generally speaking, the ideal Carnot cycle efficiency (T/Th). The second multiplier  thermoelectric factor reduces ideal efficiency of the Carnot cycle.

So, near room temperature (Tc 300K) and typical Z0.003K-1 we have an numerical expression for the maximal efficiency ηopt



As for the mode of maximum power efficiency ηmax, correspondingly:



In other words, state-of-art thermoelectric microgenerators provide efficiency only 15.516% of the ideal Carnot cycle efficiency.

Here you can make an important note about the maximum possible efficiency for any heat engines used in waste heat recycling applications (energy harvesting).

Namely, the ideal heat engine working by Carnot cycle near room temperature provides efficiency only about 0.33% per degree of temperature difference (4.11).



Thus, this is the absolute maximum.

According to Carnots theorem, such wording [22]:

Maximum efficiency of any heat engine may not exceed the efficiency of Carnot heat engine, running at the same temperatures of the heater and cooler.

This is an important point to general understand. To avoid posing unrealistic tasks to retrieve large efficiency with thermoelectric generators  larger than limited by the ideal Carnot cycle.

This issue will be discussed further in Chapter 7.

Chapter 5. Optimization of thermal resistance

Introduction. In this Chapter optimization of use of thermoelectric generator by coordination of thermal resistance of elements of design of the generator device are considered. As it appears, coordination on thermal resistance is in many respects similar to coordination of electric load resistance. Namely, there is an optimal solution with maximum efficiency at a certain ratio of thermal resistance of the generator module and other elements of a design.

Thermal resistance

Working parameters of a thermoelectric generator is determined by temperature difference T that is created when heat is passing through the generator.



In basic formulas for thermoEMF E, efficiency η and net power Pthe working temperature difference T is mentioned that is created directly on the sides (hot and cold) of the generator module.

Ваша оценка очень важна

0
Шрифт
Фон

Помогите Вашим друзьям узнать о библиотеке

Скачать книгу

Если нет возможности читать онлайн, скачайте книгу файлом для электронной книжки и читайте офлайн.

fb2.zip txt txt.zip rtf.zip a4.pdf a6.pdf mobi.prc epub ios.epub fb3