Gennady Gromov - Thermoelectric Microgenerators. Optimization for energy harvesting стр 5.

Книгу можно купить на ЛитРес.
Всего за 80 руб. Купить полную версию
Шрифт
Фон

In basic formulas for thermoEMF E, efficiency η and net power Pthe working temperature difference T is mentioned that is created directly on the sides (hot and cold) of the generator module.

In practice, however, this working T is less than total temperature difference Ts that is created at generator device by heat source relating to the envirnment, where heat is dissipated (Figure 5.1).


Figure. 5.1 Simplified schema of generator device in working arrangement with interfaces and heat sink.


Total temperature difference:


where Th  temperature of heat source; Ta  ambient temperature.


Working (net) temperature difference T on generator module is always less than total value Ts:



This is due to the fact that in the design with thermoelectric generator inevitable parasitic thermal contact resistance at the crossings of the design. Particularly thermal resistance of heat sink is most important, the heat which dissipates into the surrounding ambient (Fig. 5.1).

In general


where Ȓs  total thermal resistance of generator device; ȒTEG  thermal resistance of working thermoelectric generator module; Ȓc -thermal resistances other items of the generator device.


Presence of parasitic thermal resistances Ȓc besides total thermal resistance of generator device Ȓs reduces working temperature difference T on TE generator module in relation to the total difference Ts and, consequently, reduces its effectiveness.



Taking into account formulas (2.24) and (2.25)


where TC  temperature on cold side of thermoelectric generator; ȒTEG  thermal resistance of thermal conductivity of the thermoelectric generator.


In practical tasks, you must always strive to reduce parasitic heat resistance of construction, because it means a loss of working temperature difference and correspondingly  efficiency of generator.

However, as there is always non-zero values of such losses (Ȓc> 0) it is necessary an approach of optimization  the search for an optimal balance of these values ȒTEG and Ȓc

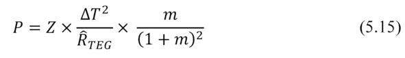
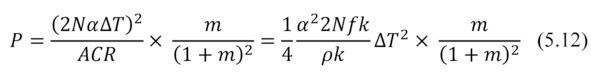
Net power

Consider net power P converted by thermoelectric generator.


where ACR  internal resistance of thermoelectric generator; m  ratio of resistances: external electrical load to internal resistance of the generator.


Here


where f  thermoelement form-factor (ratio of cross-section to height); p  electrical resistivity of thermoelement material; a -thermoelectric coefficient (Seebeck coefficient) of thermoelectric material of thermoelement; N  number of pairs of thermoelements.


Then



With


where k -thermal conductivity of thermoelement; Z  Figure of Merit.


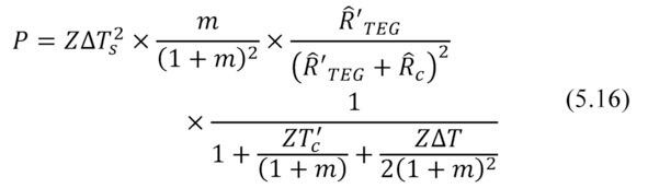
Then the desired dependency of net power conversion P from the thermal resistance is:



Where given (5.6) and (5.7) the total dependence of net power Pon heat resistance for full temperature difference Ts the system is as follows.


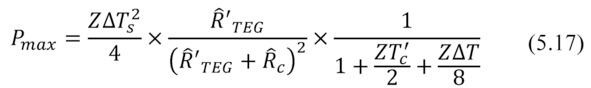
Maximum power

Maximum power Pmax is a particular case of the above general formula (5.16), namely, at m=1. The expression for maximum power Pmax has the following form



The formula (5.17) and graphical view (Fig. 5.2) for maximum output power Pmax from the thermal resistance Ȓ'TEG of the working generator is similar to the dependence of the power from the electrical resistance (Fig. 3.1). Namely, in both cases there are local maximums of power.


Figure. 5.2 Dependence of power P from thermal resistance of generator module ȒTEG at different thermal resistances of the rest of the system Ȓc (paracitic thermal resistance). Here full temperature difference is Ts=10°C.Dotted line  power at zero parazitic thermal resistance  when the working temperature difference is a half (T=5°C).


In the case of thermal resistances optimization  maximum power is achieved with equal thermal resistance of working generator Ȓ'TEGand other (sum of parasitic) thermal resistances Ȓc of the generator system.

Physical sense

Optimizing of thermal resistance has a simple physical meaning.

Generator works optimally if its heat transport capacity (thermal conductivity is inverse value to thermal resistance) and heat throughput of all other structural elements (primarily is the element responsible for heat -dissipation of past heat) agreed upon, namely, equal.

For simplicity we will consider only the element of heat dissipation  heat sink. If its heat transport capacity is less than similar parameter of generator module, less heat passes through the system as a whole the generator converts less efficient.

On the other hand, the smaller thermal resistance of heat sink is better. And generator with the specified thermal resistance works better (example, Figure 5.1  up arrow). But then already the generator will brake heat flow, as its thermal resistance becomes higher than of the heat sink.

For smaller thermal resistance of heat transport, there is a different, more optimal generator that will produce even more power (Figure 5.1  red arrow sideways). But such more optimal thermal resistance of the generator should be smaller. So according to (5.17) and Fig.5.2 it should correspond to thermal resistance of the heat exchange element (Fig. 5.1  red down arrow).

Particular solutions

Note that maximum power is achieved when there is no loss in generator on parasitic thermal resistances. This is a particular (ideal) case when the full temperature difference drops on the generator module:

Ваша оценка очень важна

0
Шрифт
Фон

Помогите Вашим друзьям узнать о библиотеке

Скачать книгу

Если нет возможности читать онлайн, скачайте книгу файлом для электронной книжки и читайте офлайн.

fb2.zip txt txt.zip rtf.zip a4.pdf a6.pdf mobi.prc epub ios.epub fb3