Gennady Gromov - Thermoelectric Microgenerators. Optimization for energy harvesting стр 3.

Книгу можно купить на ЛитРес.
Всего за 80 руб. Купить полную версию
Шрифт
Фон

Effective thermal conductivity and thermal resistance

Heat Q passed through a media, which is the generator, one can write in general using the effective thermal conductivity K of this media and temperature difference ΔT as the following.



In working generator the heat is Qc (2.12), which differs from the heat transported due to simple thermal conductivity Qλ:



Effective thermal conductivity K differs from conventional thermal conductivity K of agenerator due to the additional Peltier and Joule heat flows, that appear in the working generator, and which are superimposed on the conventional thermal conductivity (Fig. 2.2).

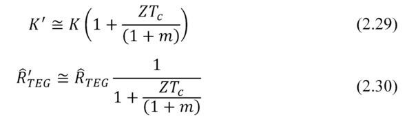
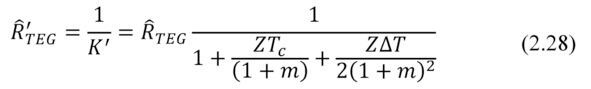
Thermal resistance of the working generator ȒTEG is the following



To a first approximation, at small temperature differences ΔT the 3-rd member (Joule) in the sum in brackets (2.27) can be ignored. Indeed, it can be shown that contribution of this term at small temperature differences is small, no more than 0.51%.

Then



Exclusion of a member, depending on ΔT dramatically simplifies analysis of a thermoelectric generator in the tasks of complex ambient. Where the generator is placed between other media and interfaces with different thermal resistance, and it is desirable to optimize the thermal resistance ȒTEG of the working generator (see Chapter 5).

When open electrical circuit takes place in the generator, then there is no Peltier and no Joule heat flows. Only thermal conductivity heat flow takes place. In other words, then Rload= and m= then the formula (2.26) is simplified to:



Temperature difference ΔT at a generator module when an open circuit takes place is associated with heat flow of thermal contuctivity Qλ as the following.


Chapter 3. Optimization of electrical circuit

Preface. Thermoelectric generator transforms thermal energy and gives it to external electric circuit. Here coordination of elements of the electric circuit with parameters of the generator is essential for extraction of maximum power. In this Chapter questions of optimization of the electric circuit are considered.

Basic formulas

Simplified electrical circuit of a generator module is shown in Fig.3.1.


Figure. 3.1 Schematics of thermoelectric generator.


Maximum electric power transformed by a generator from heat source is defined by thermoEMF E and internal resistance ACR of the generator.

The thermoEMF E is found as the following


where α  thermoelectric coefficient (Seebeck coefficient) of pair of thermoelements n- and p-types; 2N  number of elements in generator module; ΔT -working temperature difference on generator module (ΔT=Th-Tc).


If to short the electric circuit of the generator (Rload=0), the short-circuit current Isc is



At short-circuit the power Psc allocated in the electric circuit is maximal.



However, all this power will be converted into Joule heat in thermoelements of the generator. In fact, heat converted into electric current returns again into the heat. There is no useful work.

A generator performs useful work when converted power is given out to the external load that has electrical resistance different from zero (Rload> 0).

Then the working current I in the electric circuit (Fig. 3.1) is



Voltage U in the electric circuit, correspondingly



Formula of the net power P has the following form:


Maximum power

From equation (3.6) it follows that the generated power Pnonlinearly dependends on the load resistance Rload.


Figure. 3.2 Sample dependence of generator power (four variants by ACR) from the load resistance. Temperature difference 5°C.


This dependence has maximum power Pmax when external load resistance Rload is equal to internal resistance ACR of the generator (Rload=ACR):

 At given internal resistance ACR of generator, there is an optimal load resistance Rload in terms of maximum power conversion.

 On the other side also follows from the equation (3.6) that at the given loading resistance Rload, the less internal resistance ACRof generator, then more power P (an example, Fig. 3.2  an arrow up).

 At the same time, for such generator with smaller resistance ACR, there is even more optimal loading (Fig. 3.2  arrow sideways) with smaller resistance Rload (Fig. 3.2  red arrow down) which provides even more power.

Maximum power Pmax conversion occurs when:



And corresponding maximum electric current Imax



Comparing (3.2) and (3.3) and (3.7) (3.8) respectively, we get:

 Maximum power Pmax that can be obtained by thermoelectric generator is only one quarter of the maximum available transformed power by the generator (short circuit capacity).



 Electric current Imax through the module in maximum power output is half of short-circuit electric current Isc (3.2).


Chapter 4. Optimization of efficiency

Ваша оценка очень важна

0
Шрифт
Фон

Помогите Вашим друзьям узнать о библиотеке

Скачать книгу

Если нет возможности читать онлайн, скачайте книгу файлом для электронной книжки и читайте офлайн.

fb2.zip txt txt.zip rtf.zip a4.pdf a6.pdf mobi.prc epub ios.epub fb3