Константин Владимирович Ефанов - Теория расчета нефтяных аппаратов высокого давления стр 5.

Книгу можно купить на ЛитРес.
Всего за 119 руб. Купить полную версию
Шрифт
Фон

В настоящее время расчеты МКИ проводят в программном пакете МКЭ, например, ANSYS, рассчитывая корпус аппарата полностью в сборе на комбинацию всех видов нагрузки.

Результатом расчета являются цветные диаграммы деформаций и напряжений, по которым делается заключение о работоспособности конструкции аппарата для заданных расчетных нагрузок.

Под расчетом по методу конечных элементов понимается вычислительный процесс на компьютере, состоящий из [13,с.6]:

 описания конечных элементов, численного интегрирования для вычисления элементов матриц,

 объединение матриц отдельных конечных элементов в общую матрицу ансамбля элементов,

 численное решение системы уравнений равновесия.

 Решение уравнений равновесия для статических и динамических задач занимает основные затраты машинного времени на вычисления. Инженер-расчетчик может контролировать ход вычисления.

 При расчете МКЭ оболочек (т.е. корпусов аппаратов) предполагается [13,с.73], связь конечных элементов в узловых точек (которых конечное число), перемещения узловых точек определяют перемещения конечных элементов (поля конечных элементов). За счет этого используя принцип возможных перемещений можно составить уравнения равновесия для совокупности всех конечных элементов.

Решение

трехмерной задачи теории упругости

Приведем пример формы трехмерного конечного элемента:



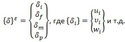
Перемещения тетраэдрического элемента определяется перемещением 12 компонентами перемещений его узлов [14,с.107]:



Компонентами u, v, w определяется вектор перемещений точки.



 Матрица деформаций [14,с.108]:





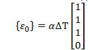
Матрица тепловых деформаций [14,с.109] (θε  средняя температура элемента):



Матрица упругости [14,с.109]:



Матрица напряжений [14,с.109] ({σ0  аддитивный член}):



Объединяя тетраэдрические элементы, можно разбивать пространство на «кирпичики». В этом случае повышается наглядность разбиения.

Зенкевич указывает [14,с.115] о расчете сосуда высокого давления МКЭ с использованием конечных элементов в виде «кирпичиков». В приводимом примере расчета выполнялся для 10000 степеней свободы. И Зенкевич указывает на то, что при применении более сложных конечных элементов расчет упрощается за счет уменьшения степеней свободы. Но использование сложных элементов не даст преимуществ в сокращении времени подготовки расчета, если процесс разбиения автоматизирован [14,с.169]. В настоящее время в программных пакетах МКЭ используется автоматизированное построение расчетной сетки. При этом при применении сложных элементов сокращается время вычислений, однако ширина матрицы увеличивается и сокращение времени может не происходить. Увеличение размеров конечных элементов приводит к ухудшению аппроксимации конструкции.

Решение осесимметричной задачи теории упругости

По данным [14,с.89] , [15,с.229] для решения осесимметричной задачи может быть использован подход плоской задачи. В этом случае треугольный симплекс-элемент вращением образует треугольный тор [15,с.229]. Такой тор показан на рисунке в работе О. Зенкевича [14,с.87]



 Объемное тело 3D-модели представляет собой объем, по которому берется интеграл таких треугольных элементов. Отличие осесимметричной задачи от плоской состоит в том, что при деформации оболочки в радиальном направлении вызывает деформацию в окружном направлении. И в рассмотрение должна быть введена четвертая компонента деформации и напряжения по сравнению со случаем плоской задачи [14,с.88]. В плоской задаче компоненты напряжения в направлении, перпендикулярном к координатной плоскости, равны нулю. Трехмерный симплекс-элемент рассматривается аналогично двумерному конечному элементу [15,с.226].

Векторы напряжений и деформаций и матрица упругости по данным [15,с.229]:





Вектор начальной деформации от теплового воздействия [15,с.230]:



Напряжения вычисляются по закону Гука [15,с.233]:



или через узловые перемещения после подстановки



([В] матрица градиента, {U} перемещение узлов.



В работе [14,с.259] отмечено о применении одномерных элементов для осесимметричных оболочек к осесимметричной нагрузкой. В этом случае используется метод перемещений и поверхность оболочки разбивается на ряд усеченных конусов:

КОНЕЦ ОЗНАКОМИТЕЛЬНОГО ОТРЫВКА

Ваша оценка очень важна

0
Шрифт
Фон

Помогите Вашим друзьям узнать о библиотеке

Скачать книгу

Если нет возможности читать онлайн, скачайте книгу файлом для электронной книжки и читайте офлайн.

fb2.zip txt txt.zip rtf.zip a4.pdf a6.pdf mobi.prc epub ios.epub fb3