Константин Владимирович Ефанов - Теория расчета нефтяных аппаратов высокого давления стр 4.

Книгу можно купить на ЛитРес.
Всего за 119 руб. Купить полную версию
Шрифт
Фон

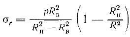
Уравнение равновесия [7,с.178]:



И затем после промежуточных выкладок находит три напряжения [7,с.179]:



Как видно, формулы совпадают с полученными Безуховым, однако выведены другим путем.

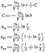
Для случая пластического состояния материала стенки уравнение равновесия при внутреннем давлении Ильюшин записал [7,с.182]:



Формулы для деформаций и напряжений полой трубы при пластической деформации имеют более сложный вид, выводятся по-другому и приведены подробно в работе Ильюшина [8,с.144].

Папкович в работе [9] указывает, что для длинного цилиндра посередине будет плоское напряженное состояние. На этом основании, по-видимому, в литературе по теории упругости, например [2], при рассмотрении задачи Ламе производится рассмотрение плоской задачи и вывод формул по соответствующему пути. Несмотря на то, что в этой же литературе приведены формулы для осесимметричной задачи.

Такой подход является по существу некорректным. Необходимо применять трехмерную задачу, лишенную, по-видимому, указанных недостатков.

Расчет сосудов и аппаратов высокого давления до 130МПа по нормам

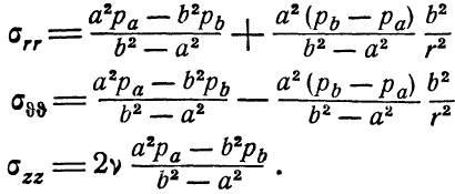
Меридиональные, радиальные, тангенциальные напряжения согласно работе [10,с.56]:







Как видно из записанных формул, величина радиальных и тангенциальных напряжений изменяется по толщине. Радиальное напряжение на внутренней поверхности стенки оболочки является равным внутреннему давлению. Тангенциальные напряжения на внутренней поверхности стенки достигают максимума.

Наибольшим напряжением будет являться тангенциальное при закрытых торцах цилиндра приваренными днищами [11,с.146]:



Рассмотрим оценку напряженного состояния по теориям прочности по данным работы [11].

По первой теории прочности [11,с.144]:



По второй теории прочности [11,с.145]:



По третьей теории прочности [11,с.145]:



По четвертой теории прочности [11,с.145]:



В работах [10] и [11] выполнено сравнение толщин стенок, рассчитанных по формулам теории упругости для толстостенных аппаратов и по формулам теории тонких оболочек для тонкостенных аппаратов. Сравнение выполнено для граничного условия отношения толщины стенки к диаметру, равному 0,1.

В теории тонких оболочек находят среднее напряжение аналогично теории пластин в виде интеграла, как показано в работе Новожилова [12]. По второй теории прочности для толстостенных сосудов применено формула для тонкостенных сосудов [11].

Вихманом и Кругловым [11,с.148] получены результаты:

 для тонкостенных сосудов



 по третьей теории прочности:



 по четвертой теории прочности:



Авторы [10] сделали вывод о том, что для тонкостенных сосудов с отношением толщины стенки к диаметру менее 0,1, результаты по формулам для толстостенных и тонкостенных сосудов приближенно одинаковые.

Таким образом, приведенный вывод авторов [10] соответствует указанной выше автором настоящей монографии положению об универсальности теории упругости и возможности расчета по методике аппаратов высокого давления для аппаратов до 21МПа. И о возможности на давление до 21МПа проектирования и изготовления аппаратов по нормам на аппараты высокого давления до 130 МПа, работающие в интервале «вакуум 130 МПа», перекрывающем интервал «вакуум 21 МПа».

При гидроиспытаниях, как указано в [11] с коэффициентом 1,25, напряжения на внутренней поверхности составляют 0,9 от предела текучести.

Также в работе [11] указан коэффициент, равный 0,136 отношения толщины стенки к внутреннему диаметру, при котором напряжения на внутренней поверхности оболочки достигают 0,9 от предела текучести (осредненные напряжения по теории тонких оболочек 0,58 от предела текучести и тангенциальные напряжения 0,72 от предела текучести).

И в работе [11] в итоге указана формула для толстостенных сосудов из аустенитно-ферритной стали по Фрейтагу В.А.:



Расчет методом конечных элементов

Приведем пример реализации решения численным методом методом конечных элементов трехмерной и осесимметричной задач теории упругости.

КОНЕЦ ОЗНАКОМИТЕЛЬНОГО ОТРЫВКА

Ваша оценка очень важна

0
Шрифт
Фон

Помогите Вашим друзьям узнать о библиотеке

Скачать книгу

Если нет возможности читать онлайн, скачайте книгу файлом для электронной книжки и читайте офлайн.

fb2.zip txt txt.zip rtf.zip a4.pdf a6.pdf mobi.prc epub ios.epub fb3