Константин Владимирович Ефанов - Теория расчета нефтяных аппаратов высокого давления стр 6.

Книгу можно купить на ЛитРес.
Всего за 119 руб. Купить полную версию
Шрифт
Фон

В работе [14,с.259] отмечено о применении одномерных элементов для осесимметричных оболочек к осесимметричной нагрузкой. В этом случае используется метод перемещений и поверхность оболочки разбивается на ряд усеченных конусов:



 Изгибные и мембранные напряжения в оболочке корпуса аппарата однозначно определяются величинами обобщенными деформациями (искривления и растяжения срединной поверхности) [14,с.259]. Перемещения каждой точки срединной поверхности известны. Так, перемещения срединной поверхности оболочки под действием осесимметричной нагрузки однозначно определяются компонентами u и w по касательной к нормали поверхности.

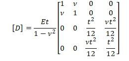
 Зенковичем [14,с.259] приводится следующая запись матриц перемещений {ε}, напряжений {σ} и упругости [D] в соответствии с четырьмя результирующими напряжениями на рисунке при φ = const (верхняя часть матриц соответствует мембранным усилиям, нижняя часть матриц соответствует изгибным жесткостям, сдвиговые части матриц не показаны):







Расчет колебаний аппаратов

Для решения задач колебаний колонных аппаратов необходимо учитывать зависимость изменения рассчитываемых параметров во времени.

Используется эквивалентная статическая задача, в которой каждый момент времени дискретизируется. Распределенная сила может быть заменена эквивалентной.

Для оболочек, как отмечает Зенкевич [16,с.352], записывается матрица масс конечных элементов (для плоских и изгибных напряжений), по которой находится общая матрица масс. Матрица масс строится аналогично матрице жесткости. Зенкевич на этом основании заключает, что решение задачи о колебаниях оболочек не вызывает затруднений.

В работе [16,с.176] Зенкевич отмечает, что введение инерционных членов в статическую задачу не усложняет решения. После вычисления матрицы масс элементов, задача принимает вид стандартной системы с конечным числом степеней свободы.

Для оболочки, совершающей перемещения (движение) динамическая задачи переводится в статическую задачу приложением сил от ускорения (по принципу дАламбера).

Колебания без затухания

В работе [16,с.176] показано, что расчет упругой конструкции в условиях статической нагрузки описывается уравнением:



В этом уравнении [K] матрица жесткости объединенной конструкции, {δ} матрица всех узловых смещений, {Р} матрица всех узловых нагрузок.

{F}p  силы в узлах от распределенных нагрузок, см. [38,с.176],

{F}ε0  силы в узлах от начальной деформации, см. [38,с.21].

Матрица динамических сил в узлах [16,с.176]:



Матрица распределенной нагрузки [16,с.177]:



Распределенная нагрузка выражается в виде эквивалентных узловых сил [16,с.177]:



После подстановки в первоначальное уравнение [16,с.177]:



Матрица внешних масс, прикладываемых к узлам сетки [16,с.177]:



Матрица масс, объединяющая матрицы масс конечных элементов [16,с.177]:



Колебания с затуханием

Для колебаний с затуханием первоначальное уравнение записывается в виде [16,с.186]

([С] матрица затухания колебаний)



Матрица затухания колебаний [С] находится аналогично матрице масс [М].

Для внешней силы можно записать [16,с.186]:



C учетом этой записи получается форма решения в виде [16,с.186]:



Первоначальное уравнение, решенное относительно {δ0} [16,с.186]:



Из последнего уравнения записывается система двух уравнений [16,с.187]:



с учетом записи {δ0} является комплексным и [16,с.186]:



Реакция конструкции с затуханием колебаний на периодическое воздействие силы с угловой частотой ω находится решением системы уравнений [16,с.187].

Получение n собственных величин и {δ0}I собственных форм колебаний получается решением уравнения [16,с.178]:



Свободные колебания

В случае свободных колебаний, уравнение, указанное для колебаний без затухания записывается в виде [16,с.178]:



Колеблющаяся конструкция представляет собой систему с конечным числом степеней свободы. Каждая точка конструкции движется в заданной фазе [16,с.178]:

КОНЕЦ ОЗНАКОМИТЕЛЬНОГО ОТРЫВКА

Ваша оценка очень важна

0
Шрифт
Фон

Помогите Вашим друзьям узнать о библиотеке

Скачать книгу

Если нет возможности читать онлайн, скачайте книгу файлом для электронной книжки и читайте офлайн.

fb2.zip txt txt.zip rtf.zip a4.pdf a6.pdf mobi.prc epub ios.epub fb3