15. Оценка дисперсии случайной ошибки модели регрессии
При проведении регрессионного анализа основная трудность заключается в том, что генеральная дисперсия случайной ошибки является неизвестной величиной, что вызывает необходимость в расчёте её несмещённой выборочной оценки.
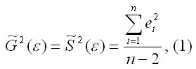
Несмещённой оценкой дисперсии (или исправленной дисперсией) случайной ошибки линейной модели парной регрессии называется величина, рассчитываемая по формуле:

где n – это объём выборочной совокупности;
еi– остатки регрессионной модели:
![]()
Для линейной модели множественной регрессии несмещённая оценка дисперсии случайной ошибки рассчитывается по формуле:

где k – число оцениваемых параметров модели регрессии.
Оценка матрицы ковариаций случайных ошибок Cov(ε) будет являться оценочная матрица ковариаций:
![]()
где In – единичная матрица.
Оценка дисперсии случайной ошибки модели регрессии распределена по ε2(хи-квадрат) закону распределения с (n-k-1) степенями свободы.
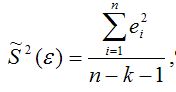
Для доказательства несмещённости оценки дисперсии случайной ошибки модели регрессии необходимо доказать справедливость равенства
![]()
Доказательство. Примем без доказательства справедливость следующих равенств:

где G2(ε) – генеральная дисперсия случайной ошибки;
S2(ε) – выборочная дисперсия случайной ошибки;
![]()
– выборочная оценка дисперсии случайной ошибки.
Тогда:

т. е.
![]()
что и требовалось доказать.
Следовательно, выборочная оценка дисперсии случайной ошибки
![]()
является несмещённой оценкой генеральной дисперсии случайной ошибки модели регрессии G2(ε).
При условии извлечения из генеральной совокупности нескольких выборок одинакового объёма n и при одинаковых значениях объясняющих переменных х, наблюдаемые значения зависимой переменной у будут случайным образом колебаться за счёт случайного характера случайной компоненты β. Отсюда можно сделать вывод, что будут варьироваться и зависеть от значений переменной у значения оценок коэффициентов регрессии и оценка дисперсии случайной ошибки модели регрессии.
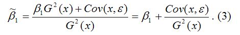
Для иллюстрации данного утверждения докажем зависимость значения МНК-оценки
![]()
от величины случайной ошибки ε.
МНК-оценка коэффициента β1 модели регрессии определяется по формуле:

В связи с тем, что переменная у зависит от случайной компоненты ε (yi=β0+β1xi+εi), то ковариация между зависимой переменной у и независимой переменной х может быть представлена следующим образом:
![]()
Для дальнейших преобразования используются свойства ковариации:
1) ковариация между переменной х и константой С равна нулю: Cov(x,C)=0, C=const;
2) ковариация переменной х с самой собой равна дисперсии этой переменной: Cov(x,x)=G2(x).
Исходя из указанных свойств ковариации, справедливы следующие равенства:
Cov(x,β0)=0 (β0=const);
Cov(x, β1x)= β1*Cov(x,x)= β1*G2(x).
Следовательно, ковариация между зависимой и независимой переменными Cov(x,y) может быть записана как:
Cov(x,y)= β1G2(x)+Cov(x,ε).
В результате МНК-оценка коэффициента β1 модели регрессии примет вид:

Таким образом, МНК-оценка
![]()
может быть представлена как сумма двух компонент:
1) константы β1, т. е. истинного значения коэффициента;
2) случайной ошибки Cov(x,ε), вызывающей вариацию коэффициента модели регрессии.
Однако на практике подобное разложение МНК-оценки невозможно, потому что истинные значения коэффициентов модели регрессии и значения случайной ошибки являются неизвестными. Теоретически данное разложение можно использовать при изучении статистических свойств МНК-оценок.
Аналогично доказывается, что МНК-оценка
![]()
коэффициента модели регрессии и несмещённая оценка дисперсии случайной ошибки
![]()
могут быть представлены как сумма постоянной составляющей (константы) и случайной компоненты, зависящей от ошибки модели регрессии ε.
16. Состоятельность и несмещённость МНК-оценок
Предположим, что методом наименьших квадратов получена оценка
![]()
Для того, чтобы данная оценка могла быть принята за оценку параметра
![]()
необходимо и достаточно выполнения трёх статистических свойств:
1) свойства несмещённости;
2) свойства состоятельности;
3) свойства эффективности.
Сделаем следующие предположения об отклонениях єi:
1) величина єiявляется случайной переменной;
2) математическое ожидание єiравно нулю: М (єi) = 0;
3) дисперсия є постоянна: D(єi) = D(єi) = s 2 для всех i, j;
4) значения єiнезависимы между собой, следовательно, справедливо следующее выражение:

Если данные предпосылки выполняются, то оценки, найденные с помощью метода наименьших квадратов, обладают свойствами несмещённости, состоятельности и эффективности.
Если третье и четвёртое предположения не выполняются, т. е. дисперсия случайных компонент непостоянна и/или значения є коррелируют друг с другом, то свойства несмещенности и состоятельности сохраняются, но свойство эффективности – нет.
Величина
![]()
называется несмещённой оценкой параметра
![]()
если её выборочное математическое ожидание равно оцениваемому параметру генеральной совокупности:
![]()
Отсюда следует, что
![]()
где φi – это величина смещения оценки.
Рассмотрим свойство несмещённости МНК-оценок на примере модели парной регрессии.
Необходимо доказать, что оценка
![]()
полученная методом наименьших квадратов, является несмещённой оценкой параметра β1 для нормальной линейной модели регрессии, т. е. необходимо доказать справедливость равенства