![]()
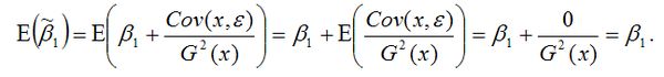
Доказательство. Проведём доказательство утверждения
![]()
через ковариационную матрицу:

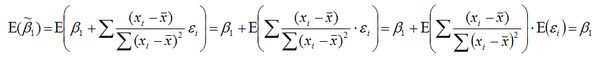
То же самое утверждение
![]()
можно доказать в более развёрнутом виде:

Следовательно, оценка
![]()
полученная методом наименьших квадратов, является несмещённой оценкой коэффициента β1 нормальной линейной модели парной регрессии.
Свойство несмещённости оценки
![]()
коэффициента β0нормальной линейной модели парной регрессии, полученной методом наименьших квадратов, доказывается аналогично.
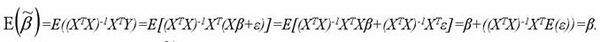
Для модели множественной регрессии доказательство свойства несмещённости оценок параметров βi, полученных методом наименьших квадратов, целесообразно провести в матричной форме:
![]()
Следовательно, оценки
![]()
полученные методом наименьших квадратов, являются несмещёнными оценками коэффициентов βiнормальной линейной модели множественной регрессии.
Величина
![]()
является состоятельной оценкой параметра
![]()
если она удовлетворяет закону больших чисел. Суть закона больших чисел состоит в том, что с увеличением выборочной совокупности значение оценки
![]()
стремится к значению параметра
![]()
генеральной совокупности:
![]()
Условие состоятельности можно также записать через теорему Бернулли:
![]()
т. е. значение оценки
![]()
сходится по вероятности к значению параметра
![]()
генеральной совокупности, при условии, что объём выборочной совокупности стремится к бесконечности.
На практике оценка
![]()
полученная методом наименьших квадратов, считается состоятельной оценкой параметра,
![]()
если выполняются два условия:
1) смещение оценки равно нулю или стремится к нему при объёме выборки, стремящемся к бесконечности:
![]()
2) дисперсия оценки параметра
![]()
стремится к нулю при объёме выборки, стремящемся к бесконечности:
![]()
Рассмотрим свойство состоятельности МНК-оценок на примере модели парной регрессии.
Необходимо доказать, что оценка
![]()
полученная методом наименьших квадратов, является состоятельной оценкой параметра β1для нормальной линейной модели регрессии.
Доказательство. Докажем первое условие состоятельности для МНК-оценки
![]()
![]()
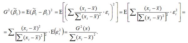
Докажем второе условие состоятельности для МНК-оценки
![]()

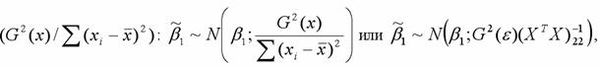
МНК-оценка
![]()
подчиняется нормальному закону распределения с математическим ожиданием β1 и дисперсией

или

где индекс 22 указывает на расположение дисперсии параметра β1в матрице ковариаций.
Свойство состоятельности оценки
![]()
коэффициента β0 нормальной линейной модели парной регрессии, полученной методом наименьших квадратов, доказывается аналогично.
Оценка стандартной ошибки МНК-оценки
![]()
определяется по формуле:

Для модели множественной регрессии доказательство свойства несмещённости оценок параметров βi, полученных методом наименьших квадратов, целесообразно провести в матричной форме:
![]()
Следовательно, оценки
![]()
полученные методом наименьших квадратов, являются несмещёнными оценками коэффициентов βiнормальной линейной модели множественной регрессии.
Эффективность МНК-оценок доказывается с помощью теоремы Гаусса-Маркова.
17. Эффективность МНК-оценок МНК
Свойство эффективности оценок неизвестных параметров модели регрессии, полученных методом наименьших квадратов, доказывается с помощью теоремы Гаусса-Маркова.
Сделаем следующие предположения о модели парной регрессии:
1) факторная переменная xi– неслучайная или детерминированная величина, которая не зависит от распределения случайной ошибки модели регрессии βi;
![]()
2) математическое ожидание случайной ошибки модели регрессии равно нулю во всех наблюдениях:
![]()
3) дисперсия случайной ошибки модели регрессии постоянна для всех наблюдений:;
![]()
4) между значениями случайных ошибок модели регрессии в любых двух наблюдениях отсутствует систематическая взаимосвязь, т. е. случайные ошибки модели регрессии не коррелированны между собой (ковариация случайных ошибок любых двух разных наблюдений равна нулю):