
Данная система называется системой нормальных уравнений. Ее коэффициенты и свободные члены определяются по правилам:
[x] = x1 + x2 +…+ xn,
[y] = y1 + y2 +…+ yn, (24)
x2] = x12 + x22 +…+ xn2,
[xy] = x1*y1 + x2*y2 + … + xn*yn.
Явный вид решения системы (23):

13. Система нормальных уравнений и явный вид ее решения при оценивании методом наименьших квадратов линейной модели парной регрессии
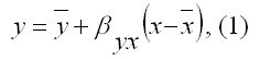
Предположим, что в ходе регрессионного анализа была установлена линейная взаимосвязь между исследуемыми переменными х и у, которая описывается моделью регрессии вида:
![]()
В результате оценивания данной эконометрической модели определяются оценки неизвестных коэффициентов. Классический подход к оцениванию параметров линейной регрессии основан на методе наименьших квадратов (МНК).
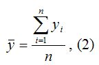
Метод наименьших квадратов позволяет получить такие оценки параметров β0 и β1, при которых сумма квадратов отклонений фактических значений результативного признака y от расчетных (теоретических) ỹ минимальна:

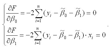
В процессе минимизации функции (1) неизвестными являются только значения коэффициентов β0 и β1, потому что значения результативной и факторной переменных известны из наблюдений. Для определения минимума функции двух переменных вычисляются частные производные этой функции по каждому из оцениваемых параметров и приравниваются к нулю. Результатом данной процедуры будет стационарная система уравнений для функции (2):

.
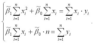
Если разделить обе части каждого уравнения системы на (-2), раскрыть скобки и привести подобные члены, то получим систему нормальных уравнений для функции регрессии вида yi=β0+β1xi:

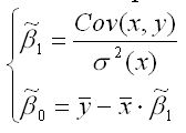
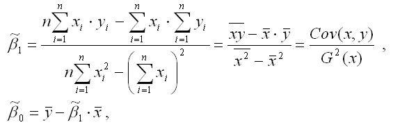
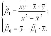
Если решить данную систему нормальных уравнений, то мы получим искомые оценки неизвестных коэффициентов модели регрессии β0 и β1:

где
![]()
– среднее значение зависимой переменной;
![]()
– среднее значение независимой переменной;
![]()
– среднее арифметическое значение произведения зависимой и независимой переменных;
![]()
– дисперсия независимой переменной;
Gcov (x, y) – ковариация между зависимой и независимой переменными.
Таким образом, явный вид решения системы нормальных уравнений может быть записан следующим образом:

14. Оценка коэффициентов модели парной регрессии с помощью выборочного коэффициента регрессии
Помимо метода наименьших квадратов, с помощью которого в большинстве случаев определяются неизвестные параметры модели регрессии, в случае линейной модели парной регрессии осуществим иной подход к решению данной проблемы.
Линейная модель парной регрессии может быть записана в виде:

где у – значения зависимой переменной;
х – значения независимой переменной;
![]()
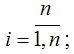
– среднее значение зависимой переменной, которое определяется на основании выборочных данных вычисленное по формуле средней арифметической:

уi– значения зависимой переменной,

n – объём выборки;
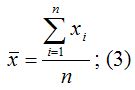
![]()
– среднее значение независимой переменной, которое определяется на основании выборочных данных вычисленное по формуле средней арифметической:

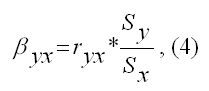
Параметр βyx называется выборочным коэффициентом регрессии переменной у по переменной х. Данный параметр показывает, на сколько в среднем изменится зависимая переменная у при изменении независимой переменной х на единицу своего измерения.
Выборочный коэффициент регрессии переменной у по переменной х рассчитывается по формуле:

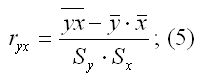
где ryx – это выборочный парный коэффициент корреляции между переменными у и х, который рассчитывается по формуле:

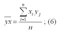
![]()
– среднее арифметическое значение произведения зависимой и независимой переменных:

Sy – показатель выборочного среднеквадратического отклонения зависимой переменной у. Этот показатель характеризует, на сколько единиц в среднем отклоняются значения зависимой переменной у от её среднего значения. Он рассчитывается по формуле:

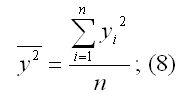
![]()
– среднее значение из квадратов значений зависимой переменной у:

![]()
– квадрат средних значений зависимой переменной у:

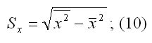
Sx – показатель выборочного среднеквадратического отклонения независимой переменной х. Этот показатель характеризует, на сколько единиц в среднем отклоняются значения независимой переменной х от её среднего значения. Они рассчитывается по формуле:

![]()
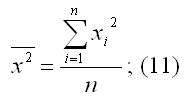
– среднее значение из квадратов значений независимой переменной х:

![]()
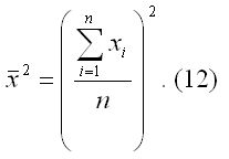
– квадрат средних значений независимой переменной х:

При использовании рассмотренного подхода оценивания неизвестных параметров линейной модели парной регрессии, следует учитывать что ryx=rxy, однако βyx≠βxy.