lкр, - это отрицательное значение статистического критерия, определяемое по таблице распределения данного критерия.
Следовательно, для определения левосторонней критической области необходимо найти рассчитать отрицательное значение статистического критерия lкр.
Предположим, что вероятность совершения ошибки первого рода или уровень значимости равен значению а. При условии справедливости основной гипотезы Н0, вероятность того, что значение статистического критерия L будет меньше значения lкр, равна заданному уровню значимости, т.е. P(L<lкр)=a.
Двусторонняя критическая область характеризуется двумя неравенствами вида:
L>lкр1 и L<lкр2,
где L – это наблюдаемое значение статистического критерия, вычисленное по данным выборки;
lкр1 – это положительное значение статистического критерия, определяемое по таблице распределения данного критерия;
lкр2 - это отрицательное значение статистического критерия, определяемое по таблице распределения данного критерия;
lкр1> lкр2.
Предположим, что вероятность совершения ошибки первого рода или уровень значимости равен значению а. При условии справедливости основной гипотезы Н0, сумма вероятностей того, что значение статистического критерия L будет больше значения lкр1 или меньше значения lкр2, равна заданному уровню значимости, т.е. P(L>lкр1)+(L<lкр2)=a.
Выбор критической области осуществляется исходя из вида конкурирующей гипотезы Н1. При этом применяются следующие правила:
1) правосторонняя критическая область выбирается в том случае, если Н1:>;
2) левосторонняя критическая область выбирается в том случае, если Н1:‹;
3) двусторонняя критическая область выбирается в том случае, если Н1:≠.
Предположим, что заданы следующие параметры:
1) статистический критерий L;
2) критическая область W, где H0 отклоняется;
3) область принятия гипотезы
![]()
где H0 не отклоняется;
4) вероятность совершить ошибку первого рода a;
5) вероятность совершить ошибку второго рода β.
Тогда справедливо утверждение о том, что выражение
![]()
является вероятностью того, что статистический критерий L попадёт в критическую область, если верна гипотеза H.
При построении критической области учитываются два требования:
1) вероятность того, что статистический критерий L попадёт в критическую область, если верна Н0, равна а:
![]()
данное равенство задаёт вероятность совершения ошибки первого рода;
2) вероятность того, что статистический критерий L попадёт в критическую область (область отклонения гипотезы Н0 в пользу гипотезы Н1), если верна гипотеза Н1:
![]()
данное равенство задаёт вероятность принятия правильной гипотезы.
Мощностью статистического критерия называется вероятность попадания данного критерия в критическую область, при условии, что справедлива конкурирующая гипотеза Н1, т. е.выражение 1-β является мощностью критерия.
Если уровень значимости уже выбран, то критическую область следует строить так, чтобы мощность критерия была максимальной. Выполнение этого требования обеспечивает минимальную ошибку второго рода, состоящую в том, что будет принята неправильная гипотеза.
22. Проверка гипотезы о значимости коэффициентов модели парной регрессии
Проверкой статистической гипотезы о значимости отдельных параметров модели называется проверка предположения о том, что данные параметры значимо отличаются от нуля.
Необходимость проверки гипотез о значимости параметров модели вызвана тем, что в дальнейшем построенную модель будут использовать для дальнейших экономических расчётов.
Предположим, что по данным выборочной совокупности была построена линейная модель парной регрессии. Задача состоит в проверке значимости оценок неизвестных коэффициентов модели, полученных методом наименьших квадратов.
Основная гипотеза состоит в предположении о незначимости коэффициентов регрессии, т. е.
Н0:β0=0, или Н0:β1=0.
Обратная или конкурирующая гипотеза состоит в предположении о значимости коэффициентов регрессии, т.е.
Н1:β0≠0, или Н1:β1≠0.
Данные гипотезы проверяются с помощью t-критерия Стьюдента.
Наблюдаемое значение t-критерия (вычисленное на основе выборочных данных) сравнивают со значением t-критерия, которое определяется по таблице распределения Стьюдента и называется критическим.
Критическое значение t-критерия зависит от уровня значимости и числа степеней свободы.
Уровнем значимостиа называется величина, которая рассчитывается по формуле:
а=1-γ,
где γ – это доверительная вероятность попадания оцениваемого параметра в доверительный интервал. Значение доверительной вероятности должно быть близким к единице, например, 0.95, 0.99. Следовательно, уровень значимости а можно определить как вероятность того, что оцениваемый параметр не попадёт в доверительный интервал.
Числом степеней свободы называется показатель, который рассчитывается как разность между объёмом выборочной совокупности n и числом оцениваемых параметров по данной выборке h. Для линейной модели парной регрессии число степеней свободы рассчитывается как (n-2), потому что по данным выборочной совокупности оцениваются только два параметра – β0 и β1.
Таким образом, критическое значение t-критерия Стьюдента определяется как tкрит(а;n-h).
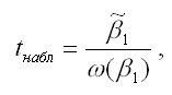
При проверке основной гипотезы вида Н0:β1=0 наблюдаемое значение t-критерия Стьюдента рассчитывается по формуле:

![]()
где – оценка параметра модели регрессии β1;
ω(β1) – величина стандартной ошибки параметра модели регрессии β1.
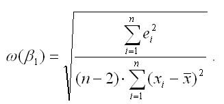
Показатель стандартной ошибки параметра модели регрессии β1 для линейной модели парной регрессии рассчитывается по формуле:

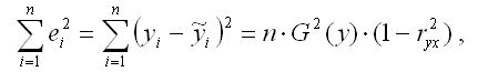
Числитель стандартной ошибки может быть рассчитан через парный коэффициент детерминации следующим образом:

где G2(y) – общая дисперсия зависимой переменной;
r2yx – парный коэффициент детерминации между зависимой и независимой переменными.
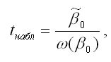
При проверке основной гипотезы β0=0 наблюдаемое значение t-критерия Стьюдента рассчитывается по формуле:

где
![]()
– оценка параметра модели регрессии β0;
ω(β0) – величина стандартной ошибки параметра модели регрессии β0.
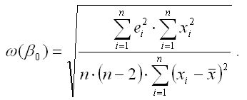
Показатель стандартной ошибки параметра β0 модели регрессии для линейной модели парной регрессии рассчитывается по формуле:

При проверке основных гипотез возможны следующие ситуации:
Если наблюдаемое значение t-критерия (вычисленное по выборочным данным) по модулю больше критического значения t-критерия (определённого по таблице распределения Стьюдента), т. е. |tнабл|›tкрит, то с вероятностью (1-а) или γ основная гипотеза о незначимости параметров модели регрессии отвергается.
Если наблюдаемое значение t-критерия (вычисленное по выборочным данным) по модулю меньше или равно критического значения t-критерия (определённого по таблице распределения Стьюдента), т. е. |tнабл|≤tкрит, то с вероятностью а или (1-γ) основная гипотеза о незначимости параметров модели регрессии принимается.