
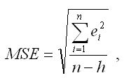
где h– это количество параметров, входящих в модель регрессии.
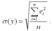
Если показатель среднеквадратической ошибки окажется меньше показателя среднеквадратического отклонения наблюдаемых значений зависимой переменной от модельных значений β(у), то модель регрессии можно считать качественной.
Показатель среднеквадратического отклонения наблюдаемых значений зависимой переменной от модельных значений рассчитывается по формуле:

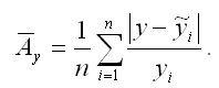
5) показатель средней ошибки аппроксимации рассчитывается по формуле:

Если величина данного показателя составляет менее 6-7%, то качество построенной модели регрессии считается хорошим. Максимально допустимым значением показателя средней ошибки аппроксимации считается 12-15 %.
19. Понятие статистической гипотезы. Общая постановка задачи проверки статистической гипотезы
Проверка статистических гипотез – это один из основных методов математической статистики, который используется в эконометрике.
С помощью методов математической статистики можно проверить предположения о законе распределения некоторой случайной величины (генеральной совокупности), о значениях параметров этого закона (например, математического ожидания или дисперсии), о наличии корреляционной зависимости между случайными величинами, определенными на множестве объектов одной и той же генеральной совокупности.
Предположим, что на основании имеющихся данных у исследователя есть основания выдвинуть предположения о законе распределения или о параметре закона распределения случайной величины (или генеральной совокупности, на множестве объектов которой определена эта случайная величина). Задача проверки статистической гипотезы заключается в подтверждении или опровержении этого предположения на основании выборочных (экспериментальных) данных.
Статистической гипотезой называется любое предположение о виде неизвестного закона распределения или о параметрах известных распределений.
Параметрической гипотезой называется гипотеза о значениях параметров распределения или о сравнительной величине параметров двух распределений.
Примером параметрической статистической гипотезы является гипотеза о равенстве математических ожиданий двух нормальных совокупностей.
Непараметрическими гипотезами называются гипотезы о виде распределения случайной величины.
Проверка статистической гипотезы означает проверку соответствия выборочных данных выдвинутой гипотезе.
Параллельно с выдвигаемой основной гипотезой рассматривают и противоречащую ей гипотезу, которая называется конкурирующей или альтернативной. Противоречащая гипотеза считается справедливой, если основная выдвинутая гипотеза отвергается.
Нулевой, основной или проверяемой гипотезой называется первоначально выдвинутая гипотеза, которая обозначается Н0.
Конкурирующей или альтернативной гипотезой называется гипотеза, которая противоречит основной гипотезе Н0 и обозначается Н1.
Например, основная гипотеза Н0 состоит в том, что математическое ожидание μ равно значению μ0. В этом случае конкурирующая гипотеза Н1 может состоять в предположении, что математическое ожидание μ не равно (больше или меньше) значения μ0:
Н0: μ=μ0;
Н1: μ≠μ0,
или
Н1: μ>μ0,
или
Н1: μ<μ0.
Простой гипотезой называется гипотеза, которая содержит только одно предположение. Например, гипотеза о том, что параметр распределения Пуассона λ равен значению λ0, является простой. Основная гипотеза о том, что математическое ожидание нормального распределения равно 5 (при известной дисперсии), т.е.
Н0: а=5,
также является простой.
Сложной гипотезой называется гипотеза, которая состоит из нескольких простых гипотез. Например, сложная гипотеза вида:
Н0: λ>4,
состоит из множества простых гипотез вида:
Н0: λ>m,
где m – это люблое число, большее четырёх.
20. Ошибки первого и второго рода. Понятие о статистических критериях. Критическая область, критические точки
Проверка статистической гипотезы означает проверку согласования исходных выборочных данных с выдвинутой основной гипотезой. При этом возможно возникновение двух ситуаций – основная гипотеза может подтвердиться, а может и опровергнуться. Следовательно, при проверке статистических гипотез существует вероятность допустить ошибку, приняв или опровергнув верную гипотезу.
При проверке статистических гипотез можно допустить ошибки первого или второго рода
Ошибкой первого рода называется ошибка, состоящая в опровержении верной гипотезы.
Ошибкой второго рода называется ошибка, состоящая в принятии ложной гипотезы.
Уровнем значимостиа называется вероятность совершения ошибки первого рода.
Значение уровеня значимости а обычно задаётся близким к нулю (например, 0,05; 0,01;0,02 и т. д.), потому что чем меньше значение уровеня значимости, тем меньше вероятность совершения ошибки первого рода, состоящую в опровержении верной гипотезы Н0.
Вероятность совершения ошибки второго рода, т. е. принятия ложной гипотезы, обозначается β.
При проверке нулевой гипотезы Н0возможно возникновение следующих ситуаций:

Проверка справедливости сттатистическвх гипотез осуществляется с помощью различных статистических критериев.
Статистическим критерием называется случайная величина, которая используется с целью проверки нулевой гипотезы.
Статистические критерии называются соответственно тому закону распределения, которому они подчиняются, т. е. F-критерий подчиняется распределению Фишера-Снедекора, χ2-критерий подчиняется χ2-распределению, Т-критерий подчиняется распределению Стьюдента, U-критерий подчиняется нормальному распределению.
Наблюдаемым значением статистического критерия называется значение критерия, которое рассчитано по выборочной совокупности, подчиняющейся определённому закону распределения.
Множество всех возможных значений выбранного статистического критерия делится на два непересекающихся подмножества. Первое подмножество включает в себя те значения критерия, при которых основная гипотеза отвергается, а второе подмножество – те значения критерия, при которых основная гипотеза принимается.
Критической областью называется множество возможных значений статистического критерия, при которых основная гипотеза отвергается.
Областью принятия гипотезы или областью допустимых значений называется множество возможных значений статистического критерия, при которых основная гипотеза принимается.
Если наблюдаемое значение статистического критерия, рассчитанное по данным выборочной совокупности, принадлежит критической области, то основная гипотеза отвергается. Если наблюдаемое значение статистического критерия принадлежит области принятия гипотезы, то основная гипотеза принимается.
Критическими точками или квантилями называются точки, разграничивающие критическую область и область принятия гипотезы.
Критические области могут быть как односторонними, так и двусторонними.
21. Правосторонняя критическая область. Левосторонняя и двусторонняя критические области. Мощность критерия
При проверке статистических гипотез используют правосторонние, левосторонние и двусторонние критические области.
Правосторонняя критическая область характеризуется неравенством вида:
L>lкр,
где L – это наблюдаемое значение статистического критерия, вычисленное по данным выборки;
lкр, – это положительное значение статистического критерия, определяемое по таблице распределения данного критерия.
Следовательно, для определения правосторонней критической области необходимо рассчитать положительное значение статистического критерия lкр.
Предположим, что вероятность совершения ошибки первого рода или уровень значимости равен значению а. При условии справедливости основной гипотезы Н0, вероятность того, что значение статистического критерия L будет больше значения lкр, равна заданному уровню значимости, т.е. P(L>lкр)=a.
Для каждого статистического критерия рассчитаны специальные таблицы, с помощью которых определяют критическую точку, удовлетворяющую заданному уровню значимости.
Левосторонняя критическая область характеризуется неравенством вида:
L<lкр,
где L – это наблюдаемое значение статистического критерия, вычисленное по данным выборки;