23. Проверка гипотезы о значимости парного коэффициента корреляции
Предположим, что по данным выборочной совокупности была построена линейная модель парной регрессии. Задача состоит в проверке значимости парного коэффициента корреляции между результативной переменной у и факторной переменной х.
Основная гипотеза состоит в предположении о незначимости парного коэффициента корреляции, т. е.
Н0:rxy=0.
Обратная или конкурирующая гипотеза состоит в предположении о значимости парного коэффициента корреляции, т. е.
Н1:rxy≠0.
Данные гипотезы проверяются с помощью t-критерия Стьюдента.
Наблюдаемое значение t-критерия (вычисленное на основе выборочных данных) сравнивают с критическим значением t-критерия, которое определяется по таблице распределения Стьюдента.
При проверке значимости парного коэффициента корреляции критическое значение t-критерия определяется как tкрит(a;n-h), где а – уровень значимости, (n-h) – число степеней свободы, которое определяется по таблице распределений t-критерия Стьюдента.
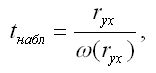
При проверке основной гипотезы вида Н0:rxy=0 наблюдаемое значение t-критерия Стьюдента рассчитывается по формуле:

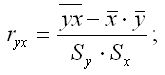
где ryx – выборочный парный коэффициент корреляции между результативной переменной у и факторной переменной х, который рассчитывается по формуле:

ω(ryx) – величина стандартной ошибки парного выборочного коэффициента корреляции.
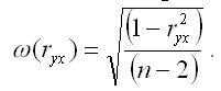
Показатель стандартной ошибки парного выборочного коэффициента корреляции для линейной модели парной регрессии рассчитывается по формуле:

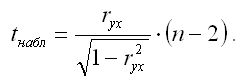
Если данное выражение подставить в формулу для расчёта наблюдаемого значения t-критерия для проверки гипотезы вида Н0:rxy=0, то получим:

При проверке основной гипотезы возможны следующие ситуации:
Если наблюдаемое значение t-критерия (вычисленное по выборочным данным) по модулю больше критического значения t-критерия (определённого по таблице распределения Стьюдента), т. е.
tнабл|>tкрит, то с вероятностью (1-а) или γ основная гипотеза о незначимости парного коэффициента корреляции отвергается.
Если наблюдаемое значение t-критерия (вычисленное по выборочным данным) по модулю меньше или равно критического значения t-критерия (определённого по таблице распределения Стьюдента), т.е. |tнабл|≤tкрит, то с вероятностью а или (1-γ) основная гипотеза о незначимости парного коэффициента корреляции принимается. В этом случае корреляционная зависимость между исследуемыми переменными отсутствует, и продолжение регрессионного анализа считается нецелесообразным.
Применение t-статистики Стьюдента для проверки гипотезы вида Н0:rxy=0 основано на выполнении двух условий:
1) если объём выборочной совокупности достаточно велик (n≥30);
2) коэффициент корреляции по модулю значительно меньше единицы:
0,45≤|ryx|≤0.75.
В том случае, если модуль парного выборочного коэффициента корреляции близок к единице, то гипотеза вида Н0:rxy=0 также может быть проверена с помощью z-статистики. Данный метод оценки значимости парного коэффициента корреляции был предложен Р. Фишером.
Между величиной z и парным выборочным коэффициентом корреляции существует отношение вида:

В связи с тем, что величина z является нормально распределённой величиной, то проверка основной гипотезы о незначимости парного коэффициента корреляции сводится к провреке основной гипотезы о незначимости величины z:
Н0:z=0.
Обратная или конкурирующая гипотеза состоит в предположении о значимости величины z, т. е.
Н1:z≠0.
Данные гипотезы проверяются с помощью t-критерия Стьюдента.
Наблюдаемое значение t-критерия (вычисленное на основе выборочных данных) сравнивают с критическим значением t-критерия, которое определяется по таблице распределения Стьюдента.
Критическое значение критерия tкрит определяют по таблице нормального распределения (z-распределения) с доверительной вероятностью γ или (1-a).
При проверке основной гипотезы вида Н0:z=0 наблюдаемое значение t-критерия Стьюдента рассчитывается по формуле:

где β(z) – это величина стандартной ошибки величины z.
Показатель стандартной ошибки величины z для линейной модели парной регрессии рассчитывается по формуле:

При проверке основной гипотезы возможны следующие ситуации:
Если наблюдаемое значение t-критерия (вычисленное по выборочным данным) по модулю больше критического значения t-критерия (определённого по таблице распределения Стьюдента), т. е. |tнабл|>tкрит, то с вероятностью (1-а) или γ основная гипотеза о незначимости парного коэффициента корреляции отвергается.
Если наблюдаемое значение t-критерия (вычисленное по выборочным данным) по модулю меньше или равно критического значения t-критерия (определённого по таблице распределения Стьюдента), т.е. |tнабл|≤tкрит, то с вероятностью а или (1-γ) основная гипотеза о незначимости парного коэффициента корреляции принимается. В этом случае корреляционная зависимость между исследуемыми переменными отсутствует, и продолжение регрессионного анализа считается нецелесообразным.
24. Проверка гипотезы о значимости модели парной регрессии. Теорема о разложении сумм квадратов
Проверка гипотезы о значимости линейной модели парной регрессии состоит в проверке гипотез о значимости коэффициентов регрессии β0 и β1 или значимости парного коэффициента детерминации r2yx.
Если проверка значимости модели парной регрессии в целом осуществляется через проверку гипотез о значимости коэффициентов регрессии, то выдвигаются основные гипотезы вида Н0:β0=0, или Н0:β1=0, утверждающие, что коэффициенты регрессии являются незначимыми, и, следовательно, модель парной регрессии в целом также является незначимой.
Обратные или конкурирующие гипотезы вида Н1:β0≠0, или Н1:β1≠0 утверждают, что коэффициенты регрессии являются значимыми, и, следовательно, модель парной регрессии в целом также является значимой.
Если проверка значимости модели парной регрессии в целом осуществляется через проверку гипотезы о значимости парного коэффициента детерминации, то выдвигается основная гипотеза вида H0:r2yx=0, утверждающая, что парный коэффициент детерминации является незначимым, и, следовательно, модель парной регрессии в целом также является незначимой.
Обратная или конкурирующая гипотеза вида H0:r2yx≠0, утверждает, что парный коэффициент детерминации является значимым, и, следовательно, модель регрессии в целом также является значимой.
Проверка выдвинутых гипотез осуществляется с помощью F-критерия Фишера-Снедекора.
Наблюдаемое значение F-критерия (вычисленное на основе выборочных данных) сравнивают с критическим значением F-критерия, которое определяется по таблице распределения Стьюдента.
Критическое значение F-критерия определяется по таблице распределения Фишера-Снедекора в зависимости от: уровня значимости а и числа степеней свободы k1=h-1 и k2=n-h, где n – это объём выборочной совокупности, а h – число оцениваемых по данной выборке параметров.
При проверке гипотезы о значимости модели парной регрессии в целом критическое значение F-критерия определяется как Fкрит(а;n-2).
При проверке основных гипотез о незначимости модели парной регрессии в целом наблюдаемое значение F-критерия рассчитывается по формуле: