
При таком выборе уставок на линии W2 образуется общая зона действия lОБЩ. При КЗ за пределами этой зоны, но в пределах зоны действия lТO2 отсечки ТO2 (точка К2) срабатывает только токовая отсечка ТО2, отключая поврежденную вторую линию. На КЗ в зоне lОБЩ (точка К1) реагируют обе отсечки: селективная ТО2 и неселективная первой линии НО1, однако "своя" отсечка ТО2 сработает быстрее (практически, мгновенно), и точно так же будет отключена только поврежденная линия W2. Неселективная отсечка при этом вернется в исходное состояние, так и не успев сработать. При КЗ в пределах линии W1 будет селективно работать неселективная отсечка НО1.
Схема токовой отсечки с выдержкой времени приведена на рис. 2.5. Требуемая выдержка времени неселективной отсечки создается при помощи реле времени KT1.
2.2.2. Неселективная токовая отсечка без выдержки времени
Неселективная токовая отсечка без выдержки времени применяется, когда по условиям обеспечения устойчивой работы энергосистемы или обеспечения термической устойчивости защищаемого оборудования требуется мгновенное отключение всех или части поврежденных элементов [4]. Исправить неселективное действие токовой отсечки при КЗ на смежных присоединениях можно с помощью устройств автоматического повторного включения (АПВ) или автоматического включения резервного источника питания (АВР).
Устройство АПВ (рис. 2.6) устанавливается на линии W1 и действует на выключатель Q1.
Если КЗ произошло на линии W2 в общей зоне lОБЩ действия селективной отсечки ТО2 и неселективной отсечки НО1 (точка К2), обе отсечки сработают одновременно. В результате обе линии W1 и W2 оказываются отключенными своими выключателями. После отключения линии W1 устройство АПВ, обеспечив определенную выдержку времени, подаст сигнал на повторное включение выключателя Q1. Линия W1 вновь включается, и питание подстанции ПС2 восстанавливается. Поврежденная линия W2 остается в отключенном состоянии.
Если в исходном состоянии электрической сети КЗ произошло вне общей зоны действия защит lОБЩ, но в зоне действия lTO2 токовой отсечки ТО2 (точка К3), то под действием этой защиты будет быстро отключена только линия W2. Неселективная отсечка НО1 действовать не должна, и линия W1 остается во включенном состоянии.

При КЗ на линии W1 (точка К1) под действием неселективной отсечки НО1 будет отключена линия W1. Устройство АПВ повторно включит линию, и, если КЗ оказалось устойчивым (не ликвидировалось за время действия АПВ), неселективная отсечка НО1 вновь отключит линию W1. Количество включений линии W1 (обычно одно) ограничивается устройством АПВ.
Ток срабатывания неселективной токовой отсечки выбирается по условию ее надежного срабатывания в тех зонах, где трехфазные КЗ вызывают снижение напряжения до значений, при которых нарушается устойчивая работа энергосистемы [5]:

где UC MIN - междуфазное напряжение питающей энергосистемы в минимальном режиме ее работы, которое можно принять равным 0,9–0,95 номинального;
ZC MIN - сопротивление энергосистемы в минимальном режиме работы до места установки неселективной отсечки; kЗ - коэффициент запаса, kЗ = 1,1–1,2;
k0 - коэффициент, учитывающий допустимое снижение напряжения при трехфазных КЗ; в приближенных расчетах для обеспечения динамической стойкости синхронных генераторов k0 ≥ 1,5, синхронных электродвигателей - k0 ≥ 1,0 [4, 5].
Кроме этого, необходимо, чтобы при КЗ в общей зоне действия отсечек на линии W2 собственное время срабатывания отсечки ТО2 не превышало время срабатывания неселективной отсечки НО1.
2.3. Максимальные токовые защиты
Максимальные токовые защиты (МТЗ) - это токовые защиты максимального типа, селективность действия которых обеспечивается выбором различных выдержек времени срабатывания.
Как правило, МТЗ используются в электрических сетях с односторонним питанием. Они устанавливаются в начале каждого контролируемого объекта со стороны источника питания (рис. 2.7).
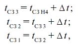
Выдержки времени срабатывания защит должны нарастать по мере приближения к источнику питания: tС31 > tC32 > tC33> tC3H4.
При КЗ на линии W3 (например, в точке КЗ) токи в линиях от источника до точки КЗ увеличатся и все три обтекаемые током КЗ защиты MT31-MT33 могут начать действовать. Среди перечисленных защит МТЗЗ имеет наименьшую выдержку времени и поэтому срабатывает первой, отключая только поврежденную линию W3. Остальные защиты вернутся в исходное состояние, так и не успев сработать.

При КЗ на линии W2 (в точке К2) током КЗ обтекаются защиты МТЗ1 и МТЗ2. Из них меньшей выдержкой времени обладает МТЗ2. Именно она должна сработать первой и отключить поврежденную линию W2.
При КЗ на линии W1 должна сработать защита МТЗ1.
2.3.1. Выбор уставок МТЗ
Ток срабатывания МТЗ выбирается исходя из следующих условий.
Во-первых, ток срабатывания должен быть больше максимального рабочего тока, чтобы защита не действовала при нормальной работе системы:
IC3 MAX > IАБ МАХ.
Во-вторых, ток возврата защиты должен быть больше тока самозапуска в послеаварийном режиме работы системы, чтобы защита возвращалась в исходное положение после селективного отключения поврежденного оборудования другой защитой:
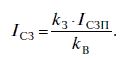
IВЗ > IСЗП.
Так, при КЗ в начале линии W2 (рис. 2.8) токи в местах установки защит МТЗ1 и МТЗ2 увеличиваются, токовые реле этих защит срабатывают и реле времени начинают отсчет установленных на них выдержек времени. Одновременно снижается напряжение на шинах подстанции ПС2 и двигатели М, также питающиеся от шин этой подстанции, затормаживаются. Часть из них при этом отключается, другая часть в соответствии с технологическими требованиями остается подключенной к сети. После отключения линии W2 защитой МТЗ2 начинается процесс самозапуска этих двигателей, при котором ток в месте установки МТЗ1 равен току самозапуска электродвигателей. В этих условиях необходимо, чтобы МТЗ1 все же вернулась в исходное состояние, прервав отсчет времени.

Учитывая, что ток срабатывания защиты и ток ее возврата связаны коэффициентом возврата (kв = IBЗ /IС), а также используя коэффициент запаса kЗ, второе условие можно переписать в виде:

Для реле РТ-40, РТ-80, РТ-90 kЗ = 1,1–1,2, kВ = 0,8–0,85 [4].
Если максимальное значение тока самозапуска неизвестно, его можно определить приближенно на основании коэффициента самозапуска, показывающего, во сколько раз ток самозапуска больше максимального рабочего тока. Тогда:

Здесь IСЗ и kСЗП - соответственно ток самозапуска электродвигателей в месте установки защиты и коэффициент самозапуска.
Выдержки времени срабатывания МТЗ при каскадном соединении линий должны возрастать по мере приближения к источнику питания (см. рис. 2.7):

где tСЗH4 - время срабатывания собственной защиты нагрузки;
Δ t - ступень селективности; при использовании электромеханических реле времени Δ t = 0,4–0,6 с.