2.3.2. Схемы МТЗ
Полная звезда (трехфазная трехрелейная схема, рис. 2.9; kCX = 1) применяется редко, так как в сетях 6-35 кВ при двойных замыканиях на землю она может приводить к неселективному отключению поврежденных линий. Чувствительность такой защиты, установленной на трансформаторах 110 кВ и выше, необходимо искусственно снижать, не допуская действия защиты при внешних однофазных КЗ. В сетях 110 кВ и выше обычно используют дистанционную защиту [5].
Неполная звезда (двухфазная двухрелейная или трехрелейная схема, рис. 2.10) используется для защиты в электрических сетях 6-35 кВ, то есть в сетях с изолированной или компенсированной нейтралью, где не может быть однофазных КЗ. Для уменьшения вероятности неселективных отключений при двойных замыканиях на землю ТТ во всей сети устанавливают на одноименных фазах (обычно А и С). На трансформаторах со схемами соединения обмоток "звезда/треугольник" (Y/Δ) и "треугольник/звезда" (Δ/Y), а также на линиях, питающих такие трансформаторы, следует использовать трехрелейную схему [5]: при двухфазном КЗ на стороне низшего напряжения (НН) трансформатора ток КЗ в одной из фаз на стороне высшего напряжения (ВН) будет в два раза выше, чем в двух других. В одном из трех случаев двухфазных КЗ этой фазой будет являться фаза B, не охваченная защитой, и чувствительность защиты снизится в два раза. Для повышения чувствительности в этом случае в обратный провод двухфазной схемы следует включить дополнительное реле KA3 (показано пунктиром на рис. 2.10).

Треугольник (обмотки реле соединяются по схеме звезды, а вторичные обмотки трансформаторов тока - по схеме треугольника, рис. 2.11; kCX = √3; схема оперативного тока такая же, как для полной звезды - см. рис. 2.9) используется для защиты трансформаторов 35 кВ и выше.
Защита, выполненная по этой схеме, не действует при внешних однофазных КЗ (в отличие от схемы полной звезды).
На двухобмоточных трансформаторах со схемой соединения обмоток "звезда/треугольник" (Y/Δ) одно из трех реле может быть исключено [5] без ухудшения чувствительности защиты (реле KA2 на рис. 2.11).

Неполный треугольник (двухфазная однорелейная схема, рис. 2.12; kCX = √3) ввиду значительных недостатков допустимо использовать только для защиты электродвигателей выше 1 кВ мощностью не более 2 МВт [3, 5]. Этот способ соединения вторичных токовых цепей иногда называют схемой включения реле "на разность токов двух фаз".

2.4. Трехступенчатые токовые защиты
Для того чтобы обеспечить надежную защиту электрических сетей при повреждениях, часто недостаточно использовать защиту одного вида. Так, токовые отсечки обеспечивают быстрое выявление повреждений, но имеют зоны нечувствительности в конце контролируемого объекта. МТЗ имеют достаточно протяженные зоны действия, но их приходится выполнять с большими выдержками времени срабатывания, особенно на головных участках сетей, где требуется высокое быстродействие. Для того чтобы максимально использовать достоинства защит разных типов, их объединяют в один комплекс.
Наибольшее распространение получили трехступенчатые токовые защиты. В качестве первой ступени используются токовые отсечки мгновенного действия (селективные токовые отсечки). В качестве второй - токовые отсечки с выдержкой времени срабатывания (неселективные токовые отсечки). В качестве третьей ступени - МТЗ.

Трехступенчатые токовые защиты могут быть неполными. Например, на головной линии W1 (рис. 2.13), как правило, устанавливаются все ступени защиты. На смежных с головным участком сети линиях (W2) чаще используют только две ступени: первую и третью. На удаленных от источника питания объектах сети (линия W3) обычно достаточно только третьей ступени защиты - МТЗ.
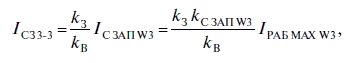
Расчеты целесообразно вести начиная с наиболее удаленной от источника питания линии (W3). Первичный ток срабатывания третьей ступени защиты 3 определяется так:

где IС ЗАП W3 и IРАБ МАХ W3 - соответственно значение тока самозапуска в послеаварийном режиме и максимальное значение рабочего тока в линии W3 в нормальном режиме;
kЗ - коэффициент запаса (для защит, имеющих выдержку времени);
kв - коэффициент возврата;
kС ЗАП W3 - коэффициент самозапуска для линии W3.
Выдержка времени срабатывания третьей ступени защиты 3:
![]()
где tC3 Н4 - максимальное время срабатывания защит нагрузок, с которыми третья ступень защиты 3 может иметь общую зону действия;
Δt - ступень селективности.
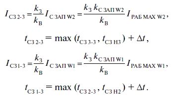
Параметры срабатывания МТЗ второй и первой линий определяются аналогично:

Первичный ток срабатывания первой ступени (отсечки мгновенного действия) второй линии:

Аналогично определяется ток срабатывания первой ступени защиты 1:
![]()
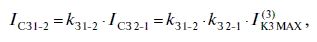
Вторая ступень защиты 1 должна быть отстроена от тока срабатывания первой ступени защиты, установленной на следующей (второй) линии:
![]()
где k3 1–2 и k3 2–1 - коэффициенты запаса по току второй ступени защиты первой линии и первой ступени второй линии соответственно; в общем случае значения этих коэффициентов различны, так как первая ступень защиты не имеет выдержки времени, а вторая - с целью обеспечения селективности действия - имеет.
По времени вторая ступень защиты 1 также должна быть отстроена от времени действия быстродействующих защит отходящих присоединений (вторая линия), с которыми имеет общую зону действия:
![]()
где tC3 2–1 - время действия первой ступени защиты 2.
Токи срабатывания реле (вторичные токи) отдельных ступеней защит вычисляются так:

где IC3 - первичный ток срабатывания соответствующей ступени защиты;
kСХ - коэффициент схемы;
kт - коэффициент трансформации ТТ защиты.
Базовая схема токовой трехступенчатой защиты, устанавливаемой на отходящей линии электропередачи 10 кВ, показана на рис. 2.14.

Чувствительность первых ступеней защит оценивается по величине зоны действия. Зона действия, как правило, определяется графически.
Чувствительность вторых ступеней может оцениваться по величине зоны действия или по значению коэффициента чувствительности. Если зона действия второй ступени полностью охватывает контролируемую линию, то третья ступень защиты этой линии выполняет только резервные функции. Если же зона действия второй ступени меньше длины контролируемой линии, то третья ступень защиты линии является основной.
Чувствительность третьих ступеней защит оценивается по коэффициенту чувствительности, как у отдельных МТЗ.
2.5. Направленные токовые защиты
Направленная защита - это защита, действующая только при определенном направлении (знаке) мощности КЗ [2].