2.1. Токовые отсечки
Токовые отсечки - это быстродействующие токовые защиты максимального типа, селективность действия которых обеспечивается за счет ограничения зоны действия (то есть выбором только уставки по току).
В сетях с односторонним питанием токовые отсечки устанавливаются в начале защищаемого участка со стороны источника питания.
Поскольку токи КЗ зависят от удаленности места повреждения от источника питания, то можно подобрать такое значение тока срабатывания отсечки, при котором в зону ее действия будет входить только контролируемый объект. Так, ток срабатывания токовой отсечки ТО1 (рис. 2.1) должен быть больше максимально возможного тока КЗ на смежном присоединении, то есть на линии W2. Поскольку ток КЗ при повреждении в начале линии W2 практически равен току КЗ при повреждении в конце линии W1, для выбора уставки обычно рассчитывают ток КЗ при повреждении на подстанции ПС2 - при КЗ в граничной между линиями точке К1.
Условие выбора тока срабатывания отсечки в этом случае может быть записано так:

2.1.1. Выбор уставок токовых отсечек

При расчетах уставок быстродействующих защит (к которым относится и токовая отсечка) необходимо учитывать возможное влияние апериодической составляющей тока КЗ [1]. G этой целью в условие выбора включают коэффициент запаса, значение которого зависит от типа чувствительного элемента (токового реле) и защищаемого объекта:
![]()
Возможные значения коэффициента запаса приведены в табл. 2.1[4].
Таблица 2.1

Токовые отсечки без выдержки времени, установленные для защиты трансформаторов или линий, от которых далее питаются силовые трансформаторы, необходимо дополнительно отстраивать от бросков тока намагничивания, возникающих при включении (восстановлении питания) указанных трансформаторов.
Зона действия токовой отсечки линии определяется графически по точке пересечения кривой изменения тока КЗ и горизонтальной линии, соответствующей уставке. В зависимости от вида КЗ и режима работы энергосистемы положение правой границы зоны действия отсечки может изменяться (токовая отсечка обладает относительной селективностью), а ширина зоны действия может принимать значения от lMIN до lMAX (см. рис. 2.1). В пределах минимальной зоны действия lMIN отсечка выявляет любые КЗ в любом режиме работы энергосистемы. За пределами максимальной зоны lMAX, напротив, никакое КЗ отсечкой выявлено не будет. Поэтому обычно зоной действия отсечки считают минимальную зону lMIN.
Эффективность отсечек оценивается по коэффициенту чувствительности или по длине зоны действия [4]:
- для отсечек трансформаторов чувствительность определяется по току самого "легкого" КЗ (определяемого режимом заземления нейтрали) в месте установки отсечки в минимальном режиме работы энергосистемы; при этом должно выполняться условие: kЧ ≥ 2;
- при расчете коэффициента чувствительности отсечек блоков "линия-трансформатор" используют минимально возможный ток при КЗ в конце линии (то есть на границе между линией и трансформатором): kЧ ≥ 1,5;
- токовая отсечка линии считается эффективной, если зона ее действия охватывает не менее 15–20 % от общей протяженности линии.
Так как токовая отсечка мгновенного действия контролирует лишь часть объекта, ее использование в качестве единственной защиты данного объекта недопустимо.
2.1.2. Схемы токовых отсечек
Отсечки, выполненные по трехфазной трехрелейной схеме (рис. 2.2), применяются для защиты электрических сетей напряжением 110 кВ и выше (сетей с глухозаземленной нейтралью). Трансформаторы тока устанавливаются в каждой из трех фаз контролируемой сети. Вторичные обмотки ТТ и катушки токовых реле соединяют по схеме "звезда/звезда" (Y/Y); при этом в нормальном режиме токи в реле равны вторичным токам ТТ, то есть kCX = 1.
Так как в сетях 110 кВ и выше обычно дополнительно устанавливают специальную токовую защиту нулевой последовательности от КЗ на землю, может быть использована разновидность этой схемы без токового реле КА2 (то есть фактически двухфазная двухрелейная схема) [5].
Назначение блок-контакта SQ заключается в своевременном разрыве цепи питания катушки отключения YAT выключателя Q после его отключения, вызванного срабатыванием защиты. Тем самым исключается возможность обгорания контактов KL1.1 под действием дуги.
Двухфазная двухрелейная схема (рис. 2.3) используется, главным образом, для защиты в электрических сетях с изолированной или компенсированной нейтралью (обычно 6-35 кВ). Здесь трансформаторы тока устанавливаются в двух фазах защищаемой сети (как правило, в фазах A и C), а вторичные обмотки ТТ и катушки реле соединяются по схеме "неполная звезда/неполная звезда". В этом случае также kCX = 1.
2.2. Неселективные отсечки
К защитам головных участков электроэнергетических систем, как правило, предъявляются повышенные требования по быстродействию. Это связано с необходимостью обеспечения устойчивости параллельной работы синхронных генераторов и энергосистемы в целом. Применение токовых отсечек оказывается не всегда эффективным, так как из-за увеличенных сечений проводников головных линий токи КЗ при повреждениях в начале и в конце линии отличаются незначительно. В результате обеспечить приемлемую зону действия и селективность отсечки обычно не удается.

В таких ситуациях могут быть использованы неселективные токовые отсечки.
Неселективные отсечки - это токовые защиты максимального типа, которые могут действовать при повреждениях не только в пределах контролируемого объекта, на котором они установлены, но и за его пределами. Селективность действия неселективных отсечек обеспечивается за счет введения выдержки времени или применения дополнительных технических средств.
2.2.1. Неселективная токовая отсечка с выдержкой времени
С целью расширения зоны, контролируемой токовой отсечкой, можно допустить возможность ее действия при КЗ на смежной линии (рис. 2.4). Селективное действие неселективной отсечки в этом случае можно обеспечить за счет ограничения зоны ее действия пределами действия быстродействующей защиты следующей линии и небольшой выдержкой времени срабатывания.

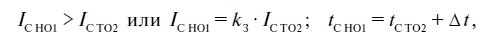
Так, установка токовой отсечки мгновенного действия ТО1 на линию W1, очевидно, неэффективна ввиду очень ограниченной зоны действия (l(TO1)). Для защиты линии W1 в этом случае целесообразно использовать неселективную отсечку НО1, которую и по току, и по времени следует отстроить от токовой отсечки ТО2 линии W2:
![]()
где IC TO2 - ток срабатывания токовой отсечки ТО2 линии W2;
k3 - коэффициент запаса неселективной отсечки;
IC HO1 - время срабатывания токовой отсечки ТО2, tC HO1 ≈ 0,1 с;
Δt - ступень селективности, Δt = 0,4–0,6 с.
Выдержка времени неселективной отсечки обычно составляет 0,3–0,8 с [5]. За это время апериодическая составляющая тока КЗ практически полностью затухает, поэтому значения коэффициента запаса принимают в пределах 1,1–1,2 независимо от типа реле [4]. Кроме того, по этой же причине (наличие выдержки времени) нет необходимости в дополнительной отстройке от бросков тока намагничивания силовых трансформаторов.