
Это значение (0,69 Ом) меньше допустимого (1,6 Ом). Следовательно, режим работы ТТ в защите, установленной на линии W5 на подстанции № 4, соответствует требованиям, при выполнении которых полная погрешность ТТ не превысит 10 %.
Определяется предельная кратность тока для ТТ на подстанции № 3:
k10 = I1 РАСЧ / I1 НОМ ТТ = 1,1 × IСЗ W53-1 / I1 НОМ ТТ = 2448 / 400 = 6,1.
По кривым предельной кратности для ТПЛ-10 (см. прил. 5) определяется максимальное значение сопротивления нагрузки ТТ - 1,7 Ом.
Расчетное наибольшее сопротивление нагрузки ТТ:
ZH РАСЧ = 2 × rПР + ZPT-40/50 + ZPT-40/20 + ZРБМ 171 + rПЕР.
Здесь

- сопротивление реле РТ-40 при минимальной уставке; SP и ICP MIN - расчетная мощность реле и минимальный ток срабатывания реле (для реле РТ-40/50 SP = 0,8 ВА, ICP MIN = 12,5 А; для реле РТ-40/10 SP = 0,5 ВА, ICP MIN = 5 А); ZРБМ 171 - сопротивление токовой катушки реле РБМ-171 (ZРБМ 171 = 0,4 Ом) [9]; RПР - активное сопротивление проводников в сигнальном кабеле (можно принять RПР = 0,05 Ом); RПЕР - активное сопротивление переходных контактов (можно принять RПЕР = 0,1 Ом).
Значение расчетного наибольшего сопротивления:
ZH РАСЧ = 2 × 0,05 + 0,8 / (12,5) + 0,5 / (5) + 0,4 + 0,1 = 0,63 Ом.
Это значение (0,63 Ом) меньше допустимого (1,7 Ом). Следовательно, полная погрешность ТТ защиты, установленной на линии W5 на подстанции № 3, также не превысит 10 %.
Таким образом, решения, принятые при выборе схем защит, устанавливаемых на линии W5, ТТ и реле, можно считать приемлемыми.
Определяется длина мертвой зоны направленной защиты при близких КЗ при питании со стороны подстанции № 4:

где SCP MIN - минимальная мощность срабатывания реле при токе в линии при трехфазном КЗ на границе мертвой зоны (для приближенных расчетов его значение можно принять равным значению тока КЗ в месте установки направленной защиты при повреждении в расчетной точке К6);
α = (90° - γн) - угол, дополняющий γн до 90° (для РБМ-171/1 будет равен 45°).
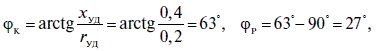
Для выбранной 90-градусной схемы включения реле направления мощности (φР = φК - 90°):

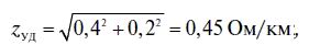
где хУД и rУД - удельное индуктивное и активное сопротивления линии W5 (хУД = 0,4 Ом/км и rУД = 0,2 Ом/км).
Полное удельное сопротивление линии:

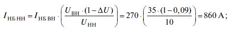
kт = 400/5 - коэффициент трансформации ТТ; kн = 10 000/100 - коэффициент трансформации ТН; IK6 = 4290 А.
Мощность срабатывания реле при номинальном токе равна 4 ВА [13].
Длина мертвой зоны при токе, превышающем номинальный в 10 раз:

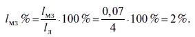
По отношению к длине всей линии в процентах это составляет:

Расчетная длина мертвой зоны для защиты, установленной на линии W5 на подстанции № 3, также не превышает 2 % длины линии.
Учитывая, что при КЗ в этих зонах (со стороны подстанций № 4 и 3) должны срабатывать соответствующие первые ступени защит - ненаправленные селективные токовые отсечки, можно считать протяженность мертвых зон приемлемой.
3.4.5. Защиты, устанавливаемые на трансформаторе Т2 35/10 кВ
На трансформаторе Т2 устанавливается такой же комплект защит, как и на трансформаторе Т1.
Газовая защита - на основе реле типа РГЧЗ-66. В защите используются контакты первой (на сигнал) и второй (на отключение) ступеней защиты.
Величины, необходимые для выбора уставок дифференциальной защиты, устанавливаемой на трансформаторе Т1, приведены в табл. 3.11.
Средние значения первичных и вторичных номинальных токов в плечах защиты приведены в табл. 3.12.
Учитывая результаты выбора параметров срабатывания дифференциальной защиты трансформатора Т1, можно не проверять возможность использования дифференциальной токовой отсечки на основе реле РТ-40 и дифференциальной токовой защиты с промежуточными насыщающимися трансформаторами на основе реле РНТ-560.
Выбираются параметры срабатывания дифференциальной защиты с торможением на реле типа ДЗТ-11 для трансформатора Т2.
Определяются параметры дифференциальной защиты с торможением.
Первичный ток небаланса, приведенный к стороне 35 кВ, без учета третьей составляющей тока небаланса, обусловленной неточностью выравнивания м.д.с. плеч защиты:

Таблица 3.11

Таблица 3.12

Ток срабатывания защиты выбирается только по условию отстройки от броска тока намагничивания при минимальном коэффициенте трансформации силового трансформатора, соответствующем крайнему положению регулятора:

Определяется число витков обмоток реле ДЗТ (табл. 3.13).
Таблица 3.12

Схема включения обмоток реле показана на рис. 3.11.
Определяется число витков тормозной обмотки реле ДЗТ, необходимое для того, чтобы реле не срабатывало при максимальном сквозном токе. Тормозная обмотка включается в плечо защиты на стороне НН 10 кВ.
Расчетное число витков тормозной обмотки:

Здесь IНБ - ток небаланса, приведенный к стороне ВН 35 кВ с использованием минимального коэффициента трансформации силового трансформатора:

wP - расчетное число витков рабочей обмотки в плече защиты, где включена тормозная обмотка wР = 17);
tgα - тангенс угла наклона к оси абсцисс касательной, проведенной из начала координат к тормозной характеристике реле (для реле ДЗТ-11 tgα = 0,87, [4]);
kЗ - коэффициент запаса (можно принять равным 1,5).
Выбирается wT = 5 [4].
Проверяется чувствительность защиты. Коэффициент чувствительности:

Здесь