
- ток в реле на стороне ВН 35 кВ, соответствующий минимальному току КЗ, при котором дифференциальная защита должна срабатывать; ICP - ток срабатывания реле.
Как видно, kЧ > 2, то есть дифференциальная защита трансформатора Т2 на основе реле ДЗТ-11 удовлетворяет требованиям по чувствительности.
Ток срабатывания МТЗ трансформатора Т2 для выявления внешних КЗ защиты определяется по условиям отстройки от токов в максимальных рабочих режимах и от токов самозапуска, возникающих в послеаварийном режиме в обмотках трансформатора Т2:

где IРАБ МАХ Т2 и IСЗАП Т2 - максимальный рабочий ток и максимальный ток самозапуска в послеаварийном режиме в обмотке ВН трансформатора соответственно;
k3 и kВ - коэффициенты запаса и возврата соответственно.
Максимальный рабочий ток трансформатора:
IРАБ МАХ Т2 = kПЕР × IНОМ Т2 = 1,4 ×165 = 231 A
Здесь kПЕР - коэффициент допустимой перегрузки трансформатора (можно принять kПЕР = 1,4).
Максимальный ток самозапуска в обмотке трансформатора Т2 возникает в послеаварийном режиме после отключения защитой нагрузки Н4 (когда питание нагрузок Н4 и Н5 осуществляется по линии W5) и восстановления напряжения на шинах 10 кВ подстанции № 3. Этот ток самозапуска обусловлен электродвигателями в нагрузках Н3 и Н5:

Здесь UНОМ - номинальное напряжение (для стороны ВН трансформатора UНОМ = 35 кВ); kСЗ Н3 и kСЗ Н5 - коэффициенты самозапуска для нагрузок Н3 и Н5 соответственно.
Ток самозапуска на стороне 35 кВ трансформатора:

Оба указанных условия выполняются, если ток срабатывания определить так:

Кроме этого, МТЗ от внешних КЗ должна быть согласована с защитами, установленными на линии W5 и на линии, отходящей к нагрузке Н3 по току и по времени:
IСЗ Т2 = kO × IСЗ W5-2; tСЗ Т2 = IСЗ W5-2 + Δt.
Здесь kО - коэффициент отстройки (kО = 1,1); Δt - ступень селективности (Δt = 0,5 с).
По условию отстройки по току (на стороне 35 кВ) от защиты линии W5 будем иметь:
IC3 Т2 = 1,1 × 808 × 10/35 = 254 А.
С учетом этого выбираются:
IСЗ Т2 = 419 А; tСЗ Т2 = 1,5 + 0,5 = 2 с.
Ток срабатывания реле МТЗ от внешних КЗ (РТ-40 при схеме соединения вторичных обмоток ТТ и катушек реле "неполная звезда - неполная звезда"):
IСP Т2 = IСЗ Т2 / kT = 419 / 80 = 5,2 А.
Выбирается реле РТ-40/10 с диапазоном уставок от 2,5 А до 10 А.
Коэффициент чувствительности при двухфазном КЗ за трансформатором:
![]()
Требование по чувствительности выполняется.
Выбираются вспомогательные реле [13].
Реле времени для МТЗ от внешних КЗ - ЭВ-132 с диапазоном выдержек времени от 0,5 до 9 секунд и номинальным напряжением питания 220 В.
Промежуточные реле - РП-221 с номинальным напряжением питания 220 В.
Указательные реле - РУ-21/0,01.
Выбираются параметры МТЗ трансформатора Т2 от перегрузки.
Первичный ток срабатывания определяется по условию отстройки от максимального рабочего тока трансформатора на стороне ВН 35 кВ, где установлена защита:

где kЗ - коэффициент запаса (принимается равным 1,05).
Защита подключена к тем же ТТ, что и МТЗ от внешних КЗ.
Ток срабатывания реле РТ-40:

Выбирается реле РТ-40/6.
Выдержка времени защиты от перегрузки должна быть согласована с выдержками времени МТЗ, установленных на всех присоединениях к шине 10 кВ трансформатора (так же как и МТЗ от внешних КЗ):
IСЗП Т2 = IСЗ Т2 = 2 с.
Реле времени для МТЗ от перегрузок - ЭВ-132 с диапазоном выдержек времени от 0,5 до 9 секунд и номинальным напряжением питания 220 В.
Промежуточные реле - РП-221 с номинальным напряжением питания 220 В.
Указательные реле - РУ-21/0,01.
Защита от перегрузки выполняется с действием на сигнал.
Защиты трансформатора Т2 выполняются по схеме, приведенной на рис. 3.12 для трансформатора Т1.
3.4.6. Защита блока "линия-трансформатор" W4-T3
В соответствии с требованиями ПУЭ для блока "линия - трансформатор" в начале линии со стороны источника питания должны быть установлены защиты, обеспечивающие выявление повреждений в линии и в трансформаторе:
- токовая отсечка для выявления междуфазных замыканий на линии и в трансформаторе;
- МТЗ для выявления повреждений вне зоны действия токовой отсечки;
- газовая защита с действием на сигнал для выявления повреждений внутри трансформатора;
- МТЗ для выявления внешних КЗ, сопровождающихся недопустимыми для трансформатора токами;
- МТЗ от перегрузок.
Определяется возможность применения селективной токовой отсечки.
Выбирается ток срабатывания токовой отсечки по условию отстройки от тока КЗ за трансформатором Т3 (точка К6):

Оценивается чувствительность по минимальному току КЗ на выводах 35 кВ трансформатора [4]:

Видно, что чувствительность селективной отсечки недостаточна для использования ее в качестве основной защиты. Основной защитой может служить комбинированная отсечка.
Выбирается ток срабатывания комбинированной отсечки:

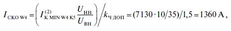
где kЧ ДОП - допустимое значение коэффициента чувствительности для основной защиты линии W4 (kЧ ДОП = 1,5).
Проверяется выполнение условия отстройки защиты от максимальных токов самозапуска, возникающих в послеаварийном режиме:
ICKO W4 ≥ ICKO W4 ≥ kЗ × kСЗ × IНОМ Т3 ВН = 1,2 × 2,3 × 165 = 455 А.
Здесь kСЗ - коэффициент самозапуска (учитывая значения коэффициентов самозапуска для нагрузок Н3, Н4, Н5, можно принять kСЗ = 2,3).
Условие отстройки выполняется.
Проверяется отстройка от бросков тока намагничивания трансформатора:
ICKO W4 ≥ (4–5) × IНОМ Т3 ВН = (4–5) × 165 = (660–825) А.
Отстройка обеспечивается.
Выбирается напряжение срабатывания комбинированной отсечки по условию, обеспечивающему ее несрабатывание при КЗ за трансформатором на стороне НН (в расчетной точке К6):

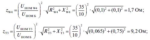
Здесь kЗ - коэффициент запаса; zW4 и zT3 - сопротивления линии W4 и трансформатора Т3 (приведенные к стороне 35 кВ) соответственно.
Значения сопротивлений определяются так:

Условие выполняется при следующем значении напряжения срабатывания: