3.4.4. Защита линии W5
На линии 10 кВ W5 должны быть установлены отдельные токовые направленные двухступенчатые защиты со стороны подстанций № 3 и 4.
Ток срабатывания селективной токовой отсечки на подстанции № 4 (первой ступени защиты) выбирается по условию отстройки от максимального тока КЗ в конце линии W5 в расчетной точке К7 при питании со стороны подстанции № 4:
![]()
На рис. 3.13, а показаны кривые изменения значений токов КЗ в месте установки защиты на подстанции № 4 в зависимости от удаленности места КЗ от места установки защиты. Зона действия первой ступени защиты, определенная по этим кривым, составляет не менее 40 % длины линии, что позволяет считать первую ступень защиты достаточно эффективной.
ТТ для релейной защиты на линии W5 (подстанция № 4) - типа ТПЛ-10 класса Р с коэффициентом трансформации 400/5. Схема соединения вторичных обмоток ТТ и катушек реле - "неполная звезда - неполная звезда".

Ток срабатывания реле первой ступени защиты:

Выбирается реле РТ-40/50 с диапазоном уставок от 12,5 А до 50 А.
Вторая ступень защиты - МТЗ. Ее ток срабатывания выбирается по условию возврата защиты в исходное состояние при токе самозапуска в линии W5 после восстановления питания на шинах 10 кВ подстанции № 3 устройством АВР:

Здесь IС3АП W54 - ток в линии W5 при самозапуске электродвигателей в нагрузке

kСЗ Н3 - коэффициент самозапуска для нагрузки Н3.
Ток срабатывания реле второй ступени:
ICP W54-2 = kCX IC3 W54-2 / kT = 657 / 80 = 8,2 А.
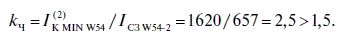
Коэффициент чувствительности второй ступени защиты для основного действия:
![]()
Здесь IK MIN W54 - ток в месте установки защиты при двухфазном КЗ в расчетной точке К7 и питании со стороны подстанции № 4.
Как видно, вторая ступень защиты имеет достаточную чувствительность.
Для второй ступени защиты выбирается реле тока PT-40/10 с диапазоном уставок от 2,5 А до 10 А.
Выдержка времени защиты должна быть согласована с выдержкой времени срабатывания защиты, установленной на нагрузке Н3:
tC3 W54-2 = tC3 Н3 + Δt = 0,7 + 0,5 = 1,2 с.
Реле времени для второй ступени защиты линии W5 - ЭВ-132 с диапазоном выдержек времени от 0,5 до 9 с и номинальным напряжением питания 220 В.
Промежуточные реле - РП-221 с номинальным напряжением питания 220 В.
Указательные реле - РУ-21/0,01.
Реле направления мощности - РБМ-171 (включается по 90-градусной схеме).
Выбираются параметры защиты, устанавливаемой на линии W5 на подстанции № 3. Эта защита должна действовать только в специальном режиме при питании по линии W5 нагрузок Н4 и Н5, присоединенных к шинам 10 кВ подстанции № 4. Этот режим может быть создан оперативным персоналом путем ручных переключений при выводе из рабочего состояния трансформатора Т3.
Ток срабатывания первой ступени защиты (селективной токовой отсечки):
![]()
Графически определяется зона действия первой ступени (рис. 3.13, б). Она составляет более 50 % длины линии.
Выбираются ТТ для релейной защиты на линии W5 (подстанция № 3) - типа ТПЛ-10 класса Р с коэффициентом трансформации 400/5 и схема соединения вторичных обмоток ТТ и катушек реле "неполная звезда - неполная звезда".
Ток срабатывания реле первой ступени:

Для первой ступени защиты выбирается реле РТ-40/50.
Ток срабатывания второй ступени выбирается по условию возврата защиты в исходное состояние при наибольшем токе самозапуска, возникающем в линии W5 после отключения нагрузки Н4 релейной защитой и восстановления питания шин 10 кВ подстанции № 4 по линии W5:

Здесь IСЗАП W53 - ток в линии W5 при самозапуске электродвигателей в нагрузке Н5:

kСЗ Н5 - коэффициент самозапуска для нагрузки Н5.
Ток срабатывания реле второй ступени:
ICP W53-2 = kCXIC3 W53-2 / kT = 808 / 80 = 10,1 А.
Коэффициент чувствительности второй ступени защиты в режиме основного действия:
![]()
Здесь IK MIN W53 - ток в месте установки защиты при двухфазном КЗ в расчетной точке К6 и питании со стороны подстанции № 3.
Как видно, вторая ступень защиты имеет достаточную чувствительность.
Для второй ступени защиты выбирается реле тока PT-40/20 с диапазоном уставок от 5 А до 20 А.
Выдержка времени защиты должна быть согласована с выдержкой времени срабатывания защиты, установленной на нагрузке Н5:
tСЗ W53-2 = tСЗ Н5 + Δt = 1,0 + 0,5 = 1,5 с.
Реле времени для второй ступени защиты линии W5 - ЭВ-132 с диапазоном выдержек времени от 0,5 до 9 с и номинальным напряжением питания 220 В.
Промежуточные реле - РП-221 с номинальным напряжением питания 220 В.
Указательные реле - РУ-21/0,01.
Реле направления мощности - РБМ-171 (включается по 90-градусной схеме).
Схема двухступенчатых токовых направленных защит, устанавливаемых на линии W5 на подстанциях № 4 и 3, показана на рис. 3.14.
Производится проверка ТТ на 10 %-ную погрешность.
Определяется предельная кратность тока для ТТ на подстанции № 4:
k10 = I1 РАСЧ / I1 НОМ ТТ = 1,1× IСЗ W54-1 / I1 НОМ ТТ = 2340 / 400 = 6,4
По кривым предельной кратности для ТПЛ-10 (см. прил. 5) определяется максимальное значение сопротивления нагрузки ТТ - 1,6 Ом.
Расчетное наибольшее сопротивление нагрузки ТТ:
ZH РАСЧ = 2 × rПР + ZPT-40/50 + ZPT-40/10 + ZРБМ 171 + rПЕР.
Здесь

- сопротивление реле РТ-40 при минимальной уставке; SP и ICP MIN - расчетная мощность реле и минимальный ток срабатывания реле (для реле РТ-40/50 SP = 0,8 ВА, ICP MIN = 12,5 А; для реле РТ-40/10 SP = 0,5 ВА, ICP MIN = 2,5 А); ZРБМ 171 - сопротивление токовой катушки реле РБМ-171 (ZРБМ 171 = 0,4 Ом) [9]; RПР - активное сопротивление проводников в сигнальном кабеле (можно принять RПР = 0,05 Ом); RПЕР - активное сопротивление переходных контактов (можно принять RПЕР = 0,1 Ом).
Значение расчетного наибольшего сопротивления:
ZH РАСЧ = 2 × 0,05 + 0,8 / (12,5) + 0,5 / (2,5) + 0,4 + 0,1 = 0,69 Ом.