
Если конфигурация присоединения может изменяться (например, могут подключаться и отключаться участки кабельных линий или обмотки электрических машин), то в качестве расчетного значения емкости принимается максимально возможное значение.
При реализации защиты на электромеханической элементной базе коэффициент запаса принимается равным 1,2–1,3. Второй коэффициент kBP может иметь значения в диапазоне от 2 до 5. Меньшие значения выбираются, если защита выполняется на реле типа РТЗ-51; средние, если на РТЗ-50, и большие - если на РТ-40/0,2.
Ток срабатывания реле определяется так:
IСР = IСЗ/kТ0,
где kT0 - коэффициент трансформации ТТ нулевой последовательности.
Если расчетное значение тока срабатывания защиты меньше, чем минимально возможный ток срабатывания защиты (реле), то ток срабатывания защиты принимается равным этому технически достижимому минимальному значению.
Чувствительность защиты, установленной на присоединении с номером К, оценивается по значению коэффициента чувствительности:
kЧWK (IСW - IСWK) / IС3WK.
Здесь IСW - суммарный емкостной ток всей сети; IСWK - емкостной ток присоединения с номером К, на котором установлена защита; IС3WK - ток срабатывания защиты, установленной на присоединении К.
Некоторые данные, необходимые для выбора параметров срабатывания защит от однофазных замыканий на землю, приведены в прил. 9.
Пример
Пусть имеется электрическая сеть с шиной 10 кВ и присоединенными отходящими линиями (рис. 2.36). Параметры сети приведены в табл. 2.2. Требуется определить параметры срабатывания защит, установленных на первом и втором присоединениях.
Ток срабатывания защиты, установленной на первом присоединении (питание электродвигателя), определяется так:
IC3W1 = k3kБРIСW1.
Принимаются следующие значения коэффициентов (для реализации на реле типа РТЗ-51 и ТТ нулевой последовательности типа ТЗЛМ): k3 = 1,2; kБР = 2,5.

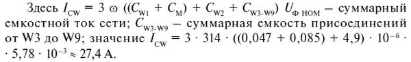
Емкостной ток первого присоединения определяется суммарной емкостью кабельной линии и обмотки статора электродвигателя:

Здесь CW1 = 0,047 мкФ - емкость кабельной линии W1, значение которой получено путем умножения удельной емкости кабеля [9] на длину линии (0,2 км); См = 0,085 мкФ - емкость обмоток статора электродвигателя (табл. П9.1).
Таблица 2.2

Если в рассматриваемой электрической сети имеются крупные электродвигатели, емкости фаз которых неизвестны, то приближенное значение составляющей емкостного тока (ТСМ), определяемой обмотками электродвигателя (при внешнем замыкании на землю), можно получить с помощью эмпирических формул [5]:
IСМ ≈ 0,017 × SНМ (при номинальном напряжении 6 кВ);
IСМ ≈ 0,03 × SНМ (при номинальном напряжении 10 кВ).
Здесь SНМ = РНМ/(cos φН × ηН) - полная номинальная мощность электродвигателя (МВА); РНМ - номинальная активная мощность электродвигателя (МВт); cos φН × ηН - номинальный коэффициент мощности и номинальный к.п.д. электродвигателя соответственно.
Первичный ток срабатывания защиты:
IСЗ W1 = 1,2 × 2,5 × 0,7 = 2,1 А.
Коэффициент чувствительности защиты:
kЧW1 = (ICW − IСw1)/IСЗW1 = (27,4 - 0,7) / 2,1 = 12,7 > 1,25.
Требования по чувствительности защиты выполняются.

Ток срабатывания защиты, установленной на втором присоединении (линия магистрального типа, протяженность которой может изменяться), определяется так:
ICЗW2kЗkБРICW2.
Значения коэффициентов (для реализации на реле типа РТЗ-51 и ТТ нулевой последовательности типа ТЗЛМ): kЗ = 1,2; kБР = 2,5.
Емкостной ток второго присоединения определяется суммарной емкостью отдельных участков кабельной линии:

Здесь CW2.1 = 0,17 мкФ; CW2.2 = 0,23 мкФ; CW2.3 = 0,24 мкФ - емкости отдельных участков кабельной линии W2, значения которых получены путем умножения удельной емкости кабеля на длину участка линии [9].
Тогда первичный ток срабатывания защиты:
ICЗW2 = 1,2 × 2,5 × 3,5 = 10,5 А.
Коэффициент чувствительности защиты:
kЧW2 = (ICW − ICW2) / IСЗW2 = (27,4 − 3,5) / 10,5 = 2,27 > 1,25
Требования по чувствительности выполняются.
Защита от однофазных замыканий на землю, способная действовать селективно, в электрических сетях с резистивным заземлением нейтрали может быть выполнена по принципу контроля тока нулевой последовательности в присоединениях (так же как и в сетях с изолированной нейтралью).
Методика выбора параметров срабатывания защит от однофазных замыканий на землю, устанавливаемых в сетях этого типа, определяется их особенностями.
Выбор тока срабатывания защит (так же как и защит, устанавливаемых в сетях с изолированной нейтралью) производится по условию отстройки от собственного тока присоединения при внешнем замыкании (этот ток равен емкостному току присоединения, как и в сети с изолированной нейтралью):
IСЗ > IСПР; IСЗ = kЗkБРIСПР.
Однако значения коэффициента отстройки от бросков емкостного тока могут находиться в диапазоне от 1 до 1,5, что позволяет приблизить токи срабатывания к значениям IСПР. Это обусловлено сравнительно низким уровнем броска тока при внешних однофазных замыканиях на землю в сетях с резистивным заземлением нейтрали [5].
При низкоомном заземлении нейтрали активная составляющая тока в месте повреждения и в месте установки защиты на поврежденном присоединении значительно больше емкостной составляющей. Емкостной составляющей тока можно пренебречь и считать, что защита реагирует на активную составляющую контролируемого тока. Тогда коэффициент чувствительности защиты можно определить так:
kЧWK = IRW/IСЗWК.
Здесь IRW = Еф /RN - активная составляющая тока в месте установки защиты на поврежденном присоединении; Еф - действующее значение фазной э.д.с. сети; RN - сопротивление заземляющего резистора; IСЗWК - ток срабатывания защиты, установленной на присоединении с номером К.
Если учесть, что ток при повреждении на контролируемом присоединении в этих сетях составляет несколько десятков ампер (определяется параметрами заземляющего резистора), то можно получить значительно более высокую чувствительность защиты от однофазных замыканий на землю, чем в сетях с изолированной нейтралью.
Пример
Пусть имеется электрическая сеть 10 кВ (рис. 2.37) с резистивным заземлением нейтрали. Основные параметры сети приведены в табл. 2.3. Требуется определить параметры срабатывания защит, установленных на первом и втором присоединениях, как и в предыдущем примере.
Ток срабатывания защиты, установленной на первом присоединении (питание электродвигателя), определяется так: